5-1784/1 (Senaat) 53-2399/1 (Kamer) | 5-1784/1 (Senaat) 53-2399/1 (Kamer) |
27 AUGUSTUS 2012
VOORWOORD
Aan het Parlement wordt het twaalfde tweejaarlijks verslag van de Nationale Evaluatiecommissie, opgericht bij wet van 13 augustus 1990, overgemaakt. De Commissie is belast met de evaluatie van de wet van 3 april 1990 betreffende de zwangerschapsafbreking, tot wijziging van de artikelen 348, 350, 351 en 352 van het Strafwetboek en tot opheffing van artikel 353 van hetzelfde Wetboek. Dit verslag heeft betrekking op de aangiften van de zwangerschapsafbrekingen die haar werden overgemaakt voor de jaren 2010-2011.
Ter herinnering, de eerdere werkzaamheden van de Commissie maakten het voorwerp uit van de volgende mededelingen aan het Parlement :
— in augustus 1992 werd het Parlement ingelicht over de stand van de werkzaamheden van de Commissie;
— in augustus 1993 verscheen het verslag over de registratie van 1 oktober tot 31 december 1992;
— in augustus 1994 volgde het verslag over het jaar 1993;
— in augustus 1996, 1998, 2000, 2002, 2004 en 2006 de verslagen respectievelijk over de registratie van 1994-1995, 1996-1997, 1998-1999, 2000-2001, 2002-2003 en 2004-2005;
— in december 2008 betreffende de registraties van de jaren 2006-2007; de laattijdigheid van deze laatste mededeling maakte het voorwerp uit van enige uitleg in het voorwoord van het verslag met betrekking tot die periode;
— in september 2010 over de registraties van de jaren 2008 en 2009.
De Commissie wil eens te meer benadrukken dat zij slechts beschikt over de inlichtingen, die de wet haar toelaat te vragen aan de betrokken artsen en de instellingen voor gezondheidszorg.
Dit verslag is, zoals de vorige, ingedeeld in drie delen.
Het eerste deel is het statistisch verslag en bevat enkel cijfergegevens. Het bestaat uit twee onderdelen : het eerste geeft de beschrijving van de zogenoemde « bruto » sociaaldemografische, psychosociale en medische gegevens; het tweede stelt de onderlinge correlaties vast tussen de bruto gegevens.
Het tweede deel betreft de gegevens, ingewonnen overeenkomstig de wet van 13 augustus 1990, bij de instellingen voor gezondheidszorg aan de hand van de jaarverslagen die ze aan de Commissie hebben gestuurd.
Het derde deel bevat een synthese van inlichtingen, die de Nederlandstalige en Franstalige voorlichtingsdiensten in hun jaarverslagen aan de Commissie hebben overgemaakt.
Zoals bij de vorige verslagen zal de Commissie zich in haar besluiten beperken tot enkele aanbevelingen.
De voltallige Commissie wenst opnieuw uitdrukkelijk haar dank uit te spreken aan de administratieve personeelsleden die haar werden ter beschikking gesteld voor de registratie en de verwerking van de gegevens. Zij apprecieert hun toewijding en bekwaamheid.
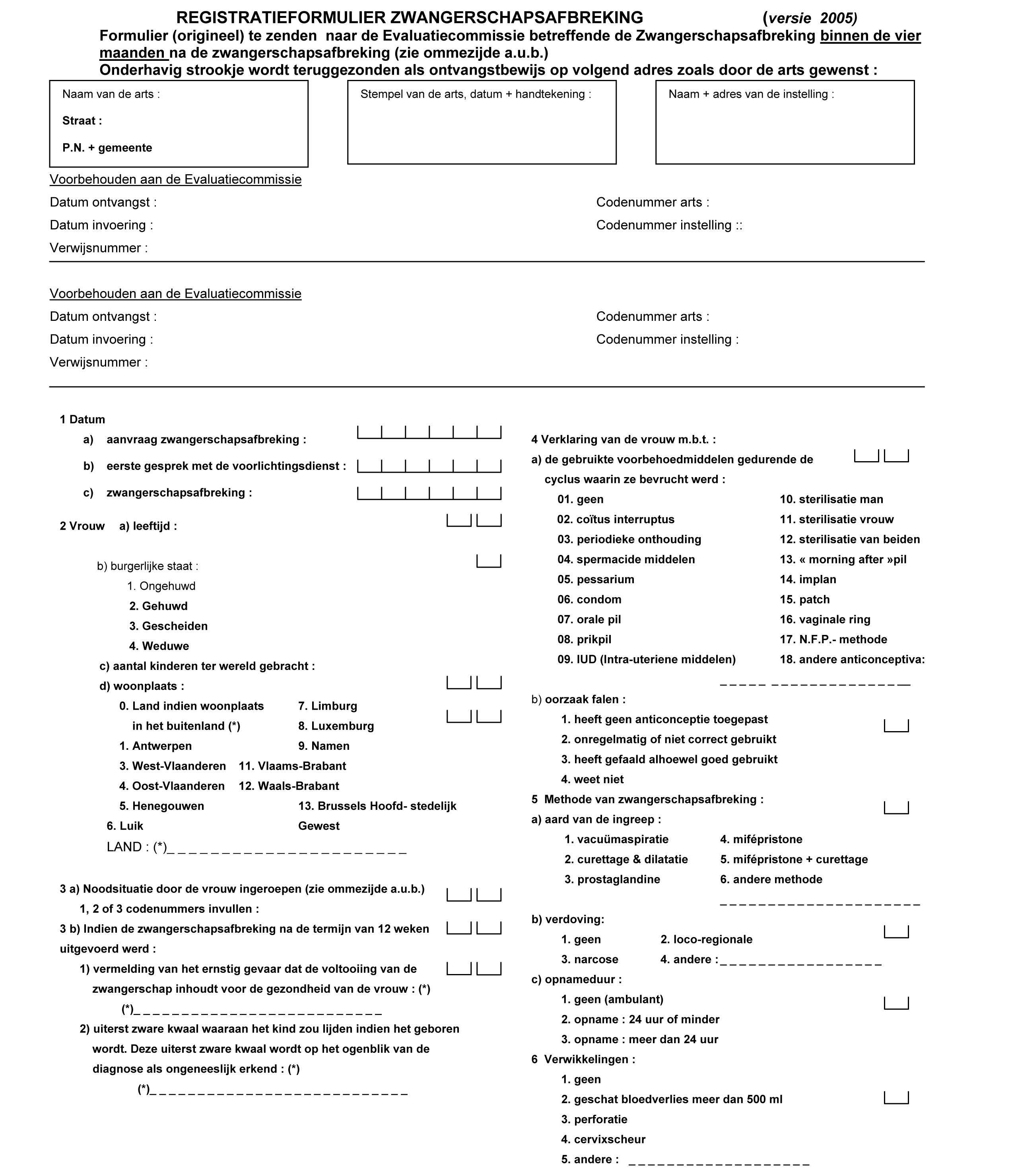
Voorzijde van het registratieformulier


Achterzijde van het registratieformulier
Adres :
Nationale Evaluatiecommissie
Zelfbestuursstraat 4 — 2e verd.
1070 Brussel
Rubriek 3 a) 1, 2 of 3 codenummers invullen
00. Lichamelijke problemen van de zwangere vrouw
01. Lichamelijke problemen van het kind dat zal geboren worden
02. Problemen van geestelijke gezondheid
13. Vrouw voelt zich te jong
14. Vrouw voelt zich te oud
15. Studente
16. Alleenstaande
17. Momenteel geen kinderwens (gezinsspreiding en dergelijke)
18. Voltooid gezin
20. Financiële problemen
21. Werksituatie
22. Woonsituatie
30. Relatie onlangs verbroken
31. Partner aanvaardt zwangerschap niet
32. Occasionele relatie
33. Te recente relatie
34. Buitenechtelijke relatie
35. Partnerrelatiemoeilijkheden
36. Relatieproblemen met omgeving
37. Juridische problemen in verband met echtscheiding
40. Verkrachting
41. Incest
50. Vreemdelinge in precaire administratieve situatie
99. Andere, te preciseren :
Formulier jaarlijks verslag van de instelling


Handleiding bij het formulier jaarlijks verslag van de instelling
Handleiding bij het jaarlijks verslag van de instelling
*(1) Dit wil zeggen : de verzoeken die aanleiding hebben gegeven tot het openen van een zwangerschapsdossier.
* (2) De term « afgewezen » kan één van de volgende betekenissen hebben :
— de vrouw komt niet naar de afspraak;
— geen informatie na het verzoek;
— de vrouw is niet zwanger op het moment van het verzoek;
— miskraam tijdens de wachtperiode;
— de aanvraag overschrijdt de termijn van twaalf weken en de vrouw wordt doorverwezen naar het buitenland;
— de zwangerschap is te ver gevorderd bij de eerste consultatie, of er is een overschrijding van 14 weken amenorroe na de 6 dagen wachttijd;
— de vrouw is doorverwezen naar een Belgisch ziekenhuis omwille van medische redenen of narcose;
— de vrouw is doorverwezen naar een ander centrum in België;
— de vrouw beslist de zwangerschap te voltooien;
— de vrouw is doorverwezen naar een adoptiedienst.
*(3) Logischerwijze moet « punt 1 min punt 2 gelijk zijn aan punt 3 ».
Formulier jaarlijks verslag van de voorlichtingsdienst


1. STATISTISCH VERSLAG
Voorafgaande opmerkingen bij dit statistisch verslag
De rubriek « geen antwoord », vermeld in de tabellen, betekent dat het registratiedocument van een zwangerschapsafbreking dat door de arts werd overgemaakt geen antwoord op de betrokken rubriek bevat.
De rubriek « andere », vermeld in de tabellen bij de ingeroepen noodsituaties, de anticonceptiemethoden, de methoden voor zwangerschapsafbreking, de verdoving en de verwikkelingen, wordt gedetailleerd toegelicht in Bijlage 1.
Bijkomende gegevens over de zwangerschapsafbrekingen na de periode van twaalf weken, worden verstrekt in Bijlage 2.
1. Beschrijving
A. Sociaal-demografische gegevens
1. De zwangerschapsafbrekingen naar de leeftijd van de vrouw
| Âge — Leeftijd | Nombre — Aantal | % | ||
| 2010 | 2011 | 2010 | 2011 | |
| 10 | 0 | 0 | 0,00 | 0,00 |
| 11 | 1 | 0 | 0,01 | 0,00 |
| 12 | 1 | 1 | 0,01 | 0,01 |
| 13 | 17 | 12 | 0,09 | 0,06 |
| 14 | 77 | 74 | 0,40 | 0,38 |
| 15 | 189 | 187 | 0,99 | 0,96 |
| 16 | 328 | 329 | 1,72 | 1,68 |
| 17 | 526 | 518 | 2,75 | 2,65 |
| 18 | 664 | 674 | 3,48 | 3,44 |
| 19 | 799 | 867 | 4,18 | 4,43 |
| 20 | 947 | 969 | 4,96 | 4,95 |
| 21 | 919 | 1046 | 4,81 | 5,34 |
| 22 | 994 | 1013 | 5,21 | 5,17 |
| 23 | 980 | 1035 | 5,13 | 5,29 |
| 24 | 972 | 964 | 5,09 | 4,92 |
| 25 | 935 | 1000 | 4,90 | 5,11 |
| 26 | 896 | 935 | 4,69 | 4,78 |
| 27 | 884 | 917 | 4,63 | 4,68 |
| 28 | 908 | 929 | 4,76 | 4,75 |
| 29 | 892 | 907 | 4,67 | 4,63 |
| 30 | 886 | 872 | 4,64 | 4,45 |
| 31 | 723 | 829 | 3,79 | 4,23 |
| 32 | 758 | 755 | 3,97 | 3,86 |
| 33 | 675 | 658 | 3,53 | 3,36 |
| 34 | 609 | 631 | 3,19 | 3,22 |
| 35 | 599 | 579 | 3,14 | 2,96 |
| 36 | 538 | 591 | 2,82 | 3,02 |
| 37 | 485 | 464 | 2,54 | 2,37 |
| 38 | 469 | 443 | 2,46 | 2,26 |
| 39 | 399 | 377 | 2,09 | 1,93 |
| 40 | 336 | 302 | 1,76 | 1,54 |
| 41 | 256 | 257 | 1,34 | 1,31 |
| 42 | 155 | 171 | 0,81 | 0,87 |
| 43 | 118 | 131 | 0,62 | 0,67 |
| 44 | 62 | 62 | 0,32 | 0,32 |
| 45 | 47 | 36 | 0,25 | 0,18 |
| 46 | 30 | 27 | 0,16 | 0,14 |
| 47 | 16 | 11 | 0,08 | 0,06 |
| 48 | 2 | 2 | 0,01 | 0,01 |
| 49 | 2 | 2 | 0,01 | 0,01 |
| 50 | 1 | 0 | 0,01 | 0,00 |
| 51 | 0 | 0 | 0,00 | 0,00 |
| 52 | 0 | 0 | 0,00 | 0,00 |
| Total. — Totaal | 19 095 | 19 577 | 100,00 | 100,00 |
| 55 | 0 | 1 | 0,00 | 0,01 |
| Total général. — Algemeen totaal | 19 095 | 19 578 | ||
Gemiddelde leeftijd in 2010 : 27,44
Gemiddelde leeftijd in 2011 : 27,32
Naar de leeftijd van de vrouw per leeftijdscategorie
| Catégorie d'âge — Leeftijds- categorie | Nombre — Aantal | % | ||||||||||
| 2006 | 2007 | 2008 | 2009 | 2010 | 2011 | 2006 | 2007 | 2008 | 2009 | 2010 | 2011 | |
| 10-14 | 83 | 107 | 105 | 79 | 96 | 87 | 0,47 | 0,59 | 0,56 | 0,42 | 0,50 | 0,44 |
| 15-19 | 2 531 | 2 601 | 2 588 | 2 595 | 2 506 | 2 575 | 14,35 | 14,42 | 13,92 | 13,75 | 13,12 | 13,15 |
| 20-24 | 4 310 | 4 423 | 4 629 | 4 808 | 4 812 | 5 027 | 24,43 | 24,53 | 24,89 | 25,48 | 25,20 | 25,68 |
| 25-29 | 4 084 | 4 156 | 4 346 | 4 376 | 4 515 | 4 688 | 23,15 | 23,05 | 23,37 | 23,19 | 23,64 | 23,95 |
| 30-34 | 3 191 | 3 369 | 3 445 | 3 612 | 3 651 | 3 745 | 18,09 | 18,68 | 18,53 | 19,14 | 19,12 | 19,13 |
| 35-39 | 2 463 | 2 375 | 2 516 | 2 389 | 2 490 | 2 454 | 13,96 | 13,17 | 13,53 | 12,66 | 13,04 | 12,54 |
| 40-44 | 901 | 915 | 901 | 928 | 927 | 923 | 5,11 | 5,07 | 4,85 | 4,92 | 4,85 | 4,71 |
| 45-49 | 74 | 87 | 64 | 82 | 97 | 78 | 0,42 | 0,48 | 0,34 | 0,43 | 0,51 | 0,40 |
| 50-54 | 3 | 0 | 1 | 1 | 1 | 0 | 0,02 | 0,00 | 0,01 | 0,01 | 0,01 | 0,00 |
| totaal | 17 640 | 18 033 | 18 595 | 18 870 | 19 095 | 19 577 | 100,00 | 100,00 | 100,00 | 100,00 | 100,00 | 100,00 |
| Plus de 54. — Ouder dan 54 | 0 | 0 | 0 | 0 | 0 | 1 | ||||||
| Total gén. — Alg. totaal | 17 640 | 18 033 | 18 595 | 18 870 | 19 095 | 19 578 | ||||||
Naar de leeftijd van de vrouw

Volgens de hieronder vermelde gegevens van de Inspectie voor Gezondheidszorg hebben gespecialiseerde ziekenhuizen in Nederland een aantal zwangerschapsafbrekingen uitgevoerd bij vrouwen afkomstig uit België en het Groot-Hertogdom Luxemburg :
In 2010 : 311 werden uitgevoerd in de grensklinieken van Eindhoven, Goes en Maastricht.
In 2011 : ....(*) werden uitgevoerd in de grensklinieken van Eindhoven, Goes en Maastricht.
(*) dit cijfer kon niet tijdig worden meegedeeld.
2. Zwangerschapsafbrekingen naar de burgerlijke staat
| État civil — Burgerlijke staat | Nombre — Aantal | % | ||
| 2010 | 2011 | 2010 | 2011 | |
| ongehuwd | 12 910 | 13 455 | 67,61 | 68,73 |
| gehuwd | 4 815 | 4 820 | 25,22 | 24,62 |
| gescheiden | 1 301 | 1 231 | 6,81 | 6,29 |
| weduwe | 69 | 72 | 0,36 | 0,37 |
| totaal | 19 095 | 19 578 | 100,00 | 100,00 |
| geen antwoord | 0 | 0 | ||
| algemeen totaal | 19 095 | 19 578 | ||
Burgerlijke staat

De officiële cijfers van de burgerlijke staat laten niet toe een juist beeld te vormen van de reële situatie van de patiënten. Een vrouw met als burgerlijke staat « gehuwd » kan met haar echtgenoot of met een andere partner samenleven, of als alleenstaande leven. Een vrouw met als burgerlijke staat « ongehuwd » kan als koppel samenleven.
3. Zwangerschapsafbrekingen naar het aantal kinderen ter wereld gebracht
| Enfants — Kinderen | Nombre — Aantal | % | ||
| 2010 | 2011 | 2010 | 2011 | |
| 0 | 8 851 | 9 145 | 46,35 | 46,71 |
| 1 | 4 192 | 4 266 | 21,95 | 21,79 |
| 2 | 3 633 | 3 698 | 19,03 | 18,89 |
| 3 | 1 610 | 1 636 | 8,43 | 8,36 |
| 4 | 565 | 581 | 2,96 | 2,97 |
| 5 | 165 | 174 | 0,86 | 0,89 |
| 6 | 49 | 48 | 0,26 | 0,25 |
| 7 | 17 | 16 | 0,09 | 0,08 |
| 8 | 10 | 12 | 0,05 | 0,06 |
| 9 | 2 | 2 | 0,01 | 0,01 |
| 10 | 0 | 0 | 0,00 | 0,00 |
| 11 | 1 | 0 | 0,01 | 0,00 |
| 12 | 0 | 0 | 0,00 | 0,00 |
| 13 | 0 | 0 | 0,00 | 0,00 |
| Total. — Totaal | 19 095 | 19 578 | 100,00 | 100,00 |
| Pas de réponse. — Geen antwoord | 0 | 0 | ||
| Total général. — Algemeen totaal | 19 095 | 19 578 | ||
Aantal kinderen

4. Zwangerschapsafbrekingen naar de woonplaats van de vrouw
4.1. Algemene gegevens
| Domicile — Woonplaats | Nombre — Aantal | % | ||
| 2010 | 2009 | 2010 | 2011 | |
| Anvers. — Antwerpen | 2 963 | 3 063 | 15,51 | 15,65 |
| Flandre Occidentale. — West-Vlaanderen | 1 132 | 1 208 | 5,93 | 6,17 |
| Flandre Orientale. — Oost-Vlaanderen | 1 697 | 1 787 | 8,89 | 9,13 |
| Hainaut. — Henegouwen | 2 375 | 2 605 | 12,44 | 13,31 |
| Liège. — Luik | 2 146 | 1 947 | 11,24 | 9,94 |
| Limbourg. — Limburg | 988 | 989 | 5,17 | 5,05 |
| Luxembourg. — Luxemburg | 426 | 420 | 2,23 | 2,15 |
| Namur. — Namen | 774 | 813 | 4,05 | 4,15 |
| Brabant Flamand. — Vlaams-Brabant | 1 069 | 1 158 | 5,60 | 5,91 |
| Brabant Wallon. — Waals-Brabant | 588 | 702 | 3,08 | 3,59 |
| Bruxelles-Capitale. — Brussel-Hoofdstad | 4 755 | 4 763 | 24,90 | 24,33 |
| À l'étranger. — Buitenland | 182 | 123 | 0,96 | 0,63 |
| Total. — Totaal | 19 095 | 19 578 | 100,00 | 100,00 |
| Pas de réponse. — Geen antwoord | 0 | 0 | ||
| Total général — Algemeen totaal | 19 095 | 19 578 | ||
Zwangerschapsafbrekingen naar de woonplaats


4.2. Vrouwen gedomicilieerd in het buitenland : indeling per werelddeel
| Origine — Afkomst | Nombre — Aantal | % | ||
| 2010 | 2011 | 2010 | 2011 | |
| Europe. — Europa | 147 | 109 | 80.77 | 88.62 |
| Afrique. — Afrika | 12 | 5 | 6.59 | 4.07 |
| Amérique. — Amerika | 4 | 5 | 2.20 | 4.07 |
| Asie. — Azië | 18 | 3 | 9.89 | 2.44 |
| Océanie. — Oceanië | 1 | 1 | 0.55 | 0.81 |
| Total. — Totaal | 182 | 123 | 100.00 | 100.00 |
| Pas de réponse. — Geen antwoord | 0 | 0 | ||
| Total général. — Algemeen totaal | 182 | 123 | ||
Vrouwen gedomicilieerd in het buitenland


5. Instellingen waar zwangerschapsafbrekingen werden uitgevoerd
| Institution — Type instelling | Nombre — Aantal | % | ||
| 2010 | 2011 | 2010 | 2011 | |
| Hôpital. — Ziekenhuis | 3 652 | 3 667 | 19,13 | 18,73 |
| Centre. — Centrum | 15 443 | 15 911 | 80,87 | 81,27 |
| Total général. — Algemeen totaal | 19 095 | 19 578 | 100,00 | 100,00 |
Verhouding centrum/ziekenhuis


B. Psycho-sociale gegevens
6. Ingeroepen noodsituaties
Lijst van noodsituaties
A.00 Lichamelijke problemen van de zwangere vrouw.
A.01 Lichamelijke problemen van het kind dat zal worden geboren.
A.02 Problemen van geestelijke gezondheid.
B.13 De vrouw voelt zich te jong.
B.14 De vrouw voelt zich te oud.
B.15 Studente.
B.16 Alleenstaande vrouw.
B.17 Momenteel geen kinderwens.
B.18 Voltooid gezin.
C.20 Financiële redenen.
C.21 Werksituatie.
C.22 Woonsituatie.
D.30 Relatie onlangs verbroken.
D.31 Partner aanvaardt de zwangerschap niet.
D.32 Occasionele relatie.
D.33 Te recente relatie.
D.34 Buitenechtelijke relatie.
D.35 Partnerrelatiemoeilijkheden.
D.36 Relatiemoeilijkheden met de omgeving.
D.37 Juridische problemen in verband met de echtscheiding.
E.40 Verkrachting.
E.41 Incest.
F.50 Politiek vluchteling.
G.99 Andere.
Categorieën van noodsituaties
A. Lichamelijke of geestelijke gezondheid van de moeder of van het kind dat zal worden geboren.
B. Persoonlijke redenen.
C. Financiële of materiële redenen.
D. Relationele of familiale problemen.
E. Zwangerschap na verkrachting of incest.
F. Politiek vluchteling.
G. Andere redenen.
| Liste — Lijst | Nombre — Aantal | % | ||
| 2010 | 2011 | 2010 | 2011 | |
| A.00 | 569 | 595 | 1,96 | 2,02 |
| A.01 | 317 | 330 | 1,09 | 1,12 |
| A.02 | 272 | 257 | 0,94 | 0,87 |
| B.13 | 3 319 | 3 259 | 11,42 | 11,07 |
| B.14 | 616 | 643 | 2,12 | 2,18 |
| B.15 | 2 485 | 2 331 | 8,55 | 7,92 |
| B.16 | 939 | 840 | 3,23 | 2,85 |
| B.17 | 4 867 | 5 404 | 16,75 | 18,36 |
| B.18 | 3 172 | 3 265 | 10,92 | 11,09 |
| C.20 | 2 489 | 2 448 | 8,57 | 8,32 |
| C.21 | 1 475 | 1 413 | 5,08 | 4,80 |
| C.22 | 515 | 559 | 1,77 | 1,90 |
| D.30 | 1 608 | 1 629 | 5,53 | 5,53 |
| D.31 | 698 | 762 | 2,40 | 2,59 |
| D.32 | 706 | 744 | 2,43 | 2,53 |
| D.33 | 1 465 | 1 508 | 5,04 | 5,12 |
| D.34 | 599 | 628 | 2,06 | 2,13 |
| D.35 | 1 405 | 1 428 | 4,84 | 4,85 |
| D.36 | 352 | 361 | 1,21 | 1,23 |
| D.37 | 91 | 79 | 0,31 | 0,27 |
| E.40 | 57 | 47 | 0,20 | 0,16 |
| E.41 | 3 | 0 | 0,01 | 0,00 |
| F.50 | 522 | 494 | 1,80 | 1,68 |
| G.99 | 512 | 407 | 1,76 | 1,38 |
| Total. — Totaal | 29 053 | 29 431 | 100,00 | 100,00 |
C. Medische gegevens
7. De meest gebruikte voorbehoedmiddelen gedurende de laatste maand
| Méthode — Methode | Nombre — Aantal | % | ||
| 2010 | 2011 | 2010 | 2011 | |
| Aucune. — Geen | 8 012 | 8 154 | 41,96 | 41,65 |
| Coït interrompu. — Coïtus interruptus | 545 | 477 | 2,85 | 2,44 |
| Abstinence périodique. — Periodieke onthouding | 711 | 731 | 3,72 | 3,73 |
| Spermicides. — Spermacide | 13 | 10 | 0,07 | 0,05 |
| Diaphragme. — Pessarium | 24 | 24 | 0,13 | 0,12 |
| Préservatif. — Condoom | 2 782 | 2 876 | 14,57 | 14,69 |
| Pilule. — Pil | 5 820 | 6 030 | 30,48 | 30,80 |
| Injection contraceptive. — Prikpil | 58 | 72 | 0,30 | 0,37 |
| DIU. — IUD | 181 | 184 | 0,95 | 0,94 |
| Stérilisation homme. — Sterilisatie man | 29 | 33 | 0,15 | 0,17 |
| Stérilisation femmes. — Sterilisatie vrouw | 14 | 14 | 0,07 | 0,07 |
| Stérilisation des deux. — Sterilisatie beiden | 1 | 0 | 0,01 | 0,00 |
| Pilule du lendemain. — « Morning after » pil | 281 | 289 | 1,47 | 1,48 |
| Implant. — Implant | 31 | 41 | 0,16 | 0,21 |
| Patch. — Patch | 200 | 233 | 1,05 | 1,19 |
| Anneau vaginal. — Vaginale ring | 348 | 379 | 1,82 | 1,94 |
| Méthode N.FR.P. — N.F.P.-methode | 16 | 15 | 0,08 | 0,08 |
| Autres. — Andere | 29 | 16 | 0,15 | 0,08 |
| Total. — Totaal | 19 095 | 19 578 | 100,00 | 100,00 |
| Pas de réponse. — Geen antwoord | 0 | 0 | ||
| Total général. — Algemeen totaal | 19 095 | 19 578 | ||
Voorbehoedmiddel


8. Oorzaak falen
| Cause — Oorzaak | Nombre — Aantal | % | ||
| 2010 | 2011 | 2010 | 2011 | |
| Pas de contraception. — Geen anticonceptie toegepast | 8 675 | 8 894 | 45,43 | 45,43 |
| Utilisation incorrecte. — Anticonceptie niet correct toegepast | 6 378 | 6 238 | 33,40 | 31,86 |
| Inefficacité de la méthode. — Gefaald alhoewel goed gebruikt | 2 969 | 3 268 | 15,55 | 16,69 |
| Ne sait pas. — Weet niet | 1 073 | 1 178 | 5,62 | 6,02 |
| Total. — Totaal | 19 095 | 19 578 | 100,00 | 100,00 |
| Pas de réponse. — Geen antwoord | 0 | 0 | ||
| Total général. — Algemeen totaal | 19 095 | 19 578 | ||
Oorzaak falen


Deze gegevens werden bekomen op grond van de verklaringen van de vrouw aan de arts en kunnen dus niet wetenschappelijk getoetst worden.
Bovendien heeft de Commissie geen enkel gegeven over de frequentie van het gebruik van de verschillende contraceptiemethoden door de bevolking.
Deze gegevens laten ons niet toe iets te zeggen over de betrouwbaarheid van hetvoorbehoedmiddel.
Deze opmerking heeft betrekking op de tabellen 7 en 8.
D. Medisch-technische aspecten van de behandeling
9. Methode van zwangerschapsafbreking
| Méthode — Methode | Nombre — Aantal | % | ||
| 2010 | 2011 | 2010 | 2011 | |
| Aspiration. — Vacuümaspiratie | 13 885 | 14 105 | 72,72 | 72,05 |
| Curetage. — Curettage | 1 124 | 1 169 | 5,89 | 5,97 |
| Prostaglandine. — Prostaglandine | 97 | 79 | 0,51 | 0,40 |
| Mifépristone. — Mifepristone | 3 911 | 4 157 | 20,48 | 21,23 |
| Mifépristone + curetage. — Mifepristone + curettage | 52 | 41 | 0,27 | 0,21 |
| Autres. — Andere | 26 | 27 | 0,14 | 0,14 |
| Total. — Totaal | 19 095 | 19 578 | 100,00 | 100,00 |
| Pas de réponse. — Een antwoord | 0 | 0 | ||
| Total général. — Algemeen totaal | 19 595 | 19 578 | ||
Methode van zwangerschapsafbreking


10. Verdoving
| Méthode — Methode | Nombre — Aantal | % | ||
| 2010 | 2011 | 2010 | 2011 | |
| Aucune. — Geen | 4 223 | 4 394 | 22,12 | 22,44 |
| Loco-régionale. — Loco-regionaal | 12 960 | 13 074 | 67,87 | 66,78 |
| Narcose. — Narcose | 1 902 | 2 098 | 9,96 | 10,72 |
| Autres. — Andere | 10 | 12 | 0,05 | 0,06 |
| Total. — Totaal | 19 095 | 19 578 | 100,00 | 100,00 |
| Pas de réponse. — Geen antwoord | 0 | 0 | ||
| Total général. — Algemeen totaal | 19 095 | 19 578 | ||
Verdoving


11. Opnameduur
| Type — Type | Nombre — Aantal | % | ||
| 2010 | 2011 | 2010 | 2011 | |
| Ambulatoire. — Geen (ambulant) | 16 833 | 17 470 | 88,15 | 89,23 |
| 24 heures ou moins. — 24 uur of minder | 2 128 | 1 985 | 11,14 | 10,14 |
| Plus de 24 heures. — Meer dan 24 uur | 134 | 123 | 0,70 | 0,63 |
| Total. — Totaal | 19 095 | 19 578 | 100,00 | 100,00 |
| Pas de réponse. — Geen antwoord | 0 | 0 | ||
| Total général. — Algemeen totaal | 19 095 | 19 578 | ||
Opname duur


12. Verwikkelingen
| Type — Type | Nombre — Aantal | % | ||
| 2010 | 2011 | 2010 | 2011 | |
| Aucune. — Geen | 18 962 | 19 418 | 99,30 | 99,18 |
| Perte de sang plus 500 ml. — Bloedverlies meer dan 500 ml | 45 | 51 | 0,24 | 0,26 |
| Perforation. — Perforatie | 12 | 14 | 0,06 | 0,07 |
| Déchirure. — Cervixscheur | 16 | 12 | 0,08 | 0,06 |
| Autres. — Andere | 60 | 83 | 0,31 | 0,42 |
| Total. — Totaal | 19 095 | 19 578 | 100,00 | 100,00 |
| Pas de réponse. — Geen antwoord | 0 | 0 | ||
| Total général. — Algemeen totaal | 19 095 | 19 578 |
Verwikkelingen


2. GEKRUISTE TABELLEN
1. Noodsituatie
1.1. Woonplaats van de vrouw en noodsituatie om materiële redenen (categorie C)
| Domicile — Woonplaats | Nombre d'IVG — Aantal abortussen | Avec C — Met C | % avec C — % met C | |||
| 2010 | 2011 | 2010 | 2011 | 2010 | 2011 | |
| Anvers. — Antwerpen | 2 963 | 3 063 | 486 | 534 | 10.85 | 12.08 |
| Flandre occidentale. — West-Vlaanderen | 1 132 | 1 208 | 121 | 117 | 2.70 | 2.65 |
| Flandre orientale. — Oost-Vlaanderen | 1 697 | 1 787 | 238 | 197 | 5.31 | 4.46 |
| Hainaut. — Henegouwen | 2 375 | 2 605 | 709 | 823 | 15.83 | 18.62 |
| Liège. — Luik | 2 146 | 1 947 | 495 | 488 | 11.05 | 11.04 |
| Limbourg. — Limburg | 988 | 989 | 84 | 58 | 1.88 | 1.31 |
| Luxembourg. — Luxemburg | 426 | 420 | 143 | 125 | 3.19 | 2.83 |
| Namur. — Namen | 774 | 813 | 245 | 266 | 5.47 | 6.02 |
| Brabant flamand. — Vlaams-Brabant | 1 069 | 1 158 | 190 | 209 | 4.24 | 4.73 |
| Brabant wallon. — Waals-Brabant | 588 | 702 | 200 | 211 | 4.47 | 4.77 |
| Bruxelles-Capitale. — Brussel-Hoofdstad | 4 755 | 4 763 | 1 527 | 1 363 | 34.09 | 30.84 |
| À l'étranger. — Buitenland | 182 | 123 | 41 | 29 | 0.92 | 0.66 |
| Total. — Totaal | 19 095 | 19 578 | 4 479 | 4 420 | 100,00 | 100,00 |
1.2. Woonplaatsvan de vrouw en het inroepen van persoonlijke redenen (categorie B)
| Domicile — Woonplaats | Nombre d'IVG — Aantal abortussen | Avec B — Met B | % avec B — % met B | |||
| 2010 | 2011 | 2010 | 2011 | 2010 | 2011 | |
| Anvers. — Antwerpen | 2 963 | 3 063 | 2 416 | 2 579 | 15.69 | 16.38 |
| Flandre occidentale. — West-Vlaanderen | 1 132 | 1 208 | 931 | 935 | 6.05 | 5.94 |
| Flandre orientale. — Oost-Vlaanderen | 1 697 | 1 787 | 1 412 | 1 463 | 9.17 | 9.29 |
| Hainaut. — Henegouwen | 2 375 | 2 605 | 1 831 | 2 034 | 11.89 | 12.92 |
| Liège. — Luik | 2 146 | 1 947 | 1 782 | 1 575 | 11.57 | 10.01 |
| Limbourg. — Limburg | 988 | 989 | 795 | 827 | 5.16 | 5.25 |
| Luxembourg. — Luxemburg | 426 | 420 | 317 | 350 | 2.06 | 2.22 |
| Namur. — Namen | 774 | 813 | 571 | 626 | 3.71 | 3.98 |
| Brabant flamand. — Vlaams-Brabant | 1 069 | 1 158 | 930 | 1 019 | 6.04 | 6.47 |
| Brabant wallon. — Waals-Brabant | 588 | 702 | 487 | 556 | 3.16 | 3.53 |
| Bruxelles-Capitale. — Brussel-Hoofdstad | 4 755 | 4 763 | 3 799 | 3 688 | 24.67 | 23.43 |
| À l'étranger. — Buitenland | 182 | 123 | 127 | 90 | 0.82 | 0.57 |
| Total. — Totaal | 19 095 | 19 578 | 15 398 | 15 742 | 100.00 | 100.00 |
Deze twee tabellen vermelden de provincies van de woonplaats van de patiënten die ten minste één materiële en/of één persoonlijke reden als noodsituatie hebben ingeroepen.
1.3. Noodsituatie en leeftijd
1.3.1. Aantal
| Situation de détresse — Noodsituatie | 10-14 | 15-19 | 20-24 | 25-29 | ||||
| 2010 | 2011 | 2010 | 2011 | 2010 | 2011 | 2010 | 2011 | |
| Santé. — Gezondheid | 0 | 1 | 30 | 37 | 147 | 158 | 301 | 314 |
| Sit. Détresse personnelle. — Persoonlijke noodsituatie | 139 | 127 | 3 233 | 3 243 | 4 048 | 4 227 | 2 793 | 2 878 |
| Sit. Détresse matérielle. — Materiële noodsituatie | 7 | 5 | 362 | 457 | 1 366 | 1 382 | 1 292 | 1 303 |
| Problèmes relationnels. — Relationele problemen | 7 | 6 | 552 | 617 | 1 816 | 1 913 | 1 953 | 2 023 |
| Viol — inceste. — Verkrachting — incest | 9 | 0 | 8 | 11 | 17 | 13 | 18 | 8 |
| Réfugiée politique. — Politiek vluchteling | 0 | 0 | 29 | 38 | 150 | 118 | 148 | 158 |
| Autres. — andere | 0 | 0 | 46 | 38 | 114 | 108 | 152 | 116 |
| Total. — Totaal | 162 | 139 | 4 260 | 4 441 | 7 658 | 7 919 | 6 657 | 6 800 |
| Situation de détresse — Noodsituatie | 30-34 | 35-39 | 40-44 | 45-49 | 50-54 | |||||
| 2010 | 2011 | 2010 | 2011 | 2010 | 2011 | 2010 | 2011 | 2010 | 2011 | |
| Santé. — Gezondheid | 329 | 333 | 238 | 237 | 107 | 98 | 6 | 4 | 0 | 0 |
| Sit. Détresse personnelle. — Persoonlijke noodsituatie | 2 237 | 2 338 | 1 942 | 1 893 | 897 | 943 | 108 | 92 | 1 | 0 |
| Sit. Détresse matérielle. — Materiële noodsituatie | 882 | 776 | 444 | 379 | 117 | 113 | 9 | 5 | 0 | 0 |
| Problèmes relationnels. — Relationele problemen | 1 490 | 1 525 | 865 | 822 | 228 | 215 | 13 | 18 | 0 | 0 |
| Viol — inceste. — Verkrachting — incest | 7 | 6 | 7 | 5 | 1 | 4 | 0 | 0 | 0 | 0 |
| Réfugiée politique. — Politiek vluchteling | 117 | 105 | 59 | 62 | 19 | 13 | 0 | 0 | 0 | 0 |
| Autres. — andere | 117 | 85 | 61 | 48 | 22 | 12 | 0 | 0 | 0 | 0 |
| Total. — Totaal | 5 179 | 5 168 | 3 616 | 3 446 | 1 391 | 1 398 | 136 | 119 | 1 | 0 |
1.3.2. Percentage
| Situation de détresse — Noodsituatie | 10-14 | 15-19 | 20-24 | 25-29 | ||||
| 2010 | 2011 | 2010 | 2011 | 2010 | 2011 | 2010 | 2011 | |
| Santé. — Gezondheid | 0.00 | 0.72 | 0.70 | 0.83 | 1.92 | 2.00 | 4.52 | 4.62 |
| Sit. Détresse personnelle. — Persoonlijke noodsituatie | 85.80 | 91.37 | 75.89 | 73.02 | 52.86 | 53.38 | 41.96 | 42.32 |
| Sit. Détresse matérielle. — Materiële noodsituatie | 4.32 | 3.60 | 8.50 | 10.29 | 17.84 | 17.45 | 19.41 | 19.16 |
| Problèmes relationnels. — Relationele problemen | 4.32 | 4.32 | 12.96 | 13.89 | 23.71 | 24.16 | 29.34 | 29.75 |
| Viol — inceste. — Verkrachting — incest | 5.56 | 0.00 | 0.19 | 0.25 | 0.22 | 0.16 | 0.27 | 0.12 |
| Réfugiée politique. — Politiek vluchteling | 0.00 | 0.00 | 0.68 | 0.86 | 1.96 | 1.49 | 2.22 | 2.32 |
| Autres. — andere | 0.00 | 0.00 | 1.08 | 0.86 | 1.49 | 1.36 | 2.28 | 1.71 |
| Total. — Totaal | 100.00 | 100.00 | 100.00 | 100.00 | 100.00 | 100.00 | 100.00 | 100.00 |
| Situation de détresse. — Noodsituatie | 30-34 | 35-39 | 40-44 | 45-49 | 50-54 | |||||
| 2010 | 2011 | 2010 | 2011 | 2010 | 2011 | 2010 | 2011 | 2010 | 2011 | |
| Santé. — Gezondheid | 6.35 | 6.44 | 6.58 | 6.88 | 7.69 | 7.01 | 4.41 | 3.36 | 0.00 | 0.00 |
| Sit. Détresse personnelle. — Persoonlijke noodsituatie | 43.19 | 45.24 | 53.71 | 54.93 | 64.49 | 67.45 | 79.41 | 77.31 | 100.00 | 0.00 |
| Sit. Détresse matérielle. — Materiële noodsituatie | 17.03 | 15.02 | 12.28 | 11.00 | 8.41 | 8.08 | 6.62 | 4.20 | 0.00 | 0.00 |
| Problèmes relationnels. — Relationele problemen | 28.77 | 29.51 | 23.92 | 23.85 | 16.39 | 15.38 | 9.56 | 15.13 | 0.00 | 0.00 |
| Viol — inceste. — Verkrachting — incest | 0.14 | 0.12 | 0.19 | 0.15 | 0.07 | 0.29 | 0.00 | 0.00 | 0.00 | 0.00 |
| Réfugiée politique. — Politiek vluchteling | 2.26 | 2.03 | 1.63 | 1.80 | 1.37 | 0.93 | 0.00 | 0.00 | 0.00 | 0.00 |
| Autres. — andere | 2.26 | 1.64 | 1.69 | 1.39 | 1.58 | 0.86 | 0.00 | 0.00 | 0.00 | 0.00 |
| Total. — Totaal | 100.00 | 100.00 | 100.00 | 100.00 | 100.00 | 100.00 | 100.00 | 100.00 | 100.00 | 100.00 |
PS. : de 55-jarige vrouw die niet voorkomt in de tabellen (2011) had een persoonlijke noodsituatie ingeroepen.
1.4. Noodsituatie en burgerlijke staat
1.4.1. Aantal
| Situation de détresse — Noodsituatie | Célibataire — Ongehuwd | Mariée — Gehuwd | Divorcée — Gescheiden | Veuve — Weduwe | ||||
| 2010 | 2011 | 2010 | 2011 | 2010 | 2011 | 2010 | 2011 | |
| Santé. — Gezondheid | 605 | 640 | 478 | 478 | 71 | 62 | 4 | 2 |
| Sit. Détresse personnelle. — Persoonlijke noodsituatie | 10 834 | 11 047 | 3 764 | 3 863 | 765 | 783 | 35 | 49 |
| Sit. Détresse matérielle. — Materiële noodsituatie | 3 142 | 3 221 | 1 068 | 961 | 255 | 226 | 14 | 12 |
| Problèmes relationnels. — Relationele problemen | 4 927 | 5 309 | 1 107 | 1 048 | 858 | 743 | 32 | 39 |
| Viol — inceste. — Verkrachting — incest | 49 | 32 | 7 | 3 | 3 | 12 | 1 | 0 |
| Réfugiée politique. — Politiek vluchteling | 320 | 323 | 165 | 144 | 31 | 21 | 6 | 6 |
| Autres. — andere | 348 | 294 | 130 | 89 | 29 | 21 | 5 | 3 |
| Total. — Totaal | 20 225 | 20 866 | 6 719 | 6 586 | 2 012 | 1 868 | 97 | 111 |
1.4.2. Percentage
| Situation de détresse — Noodsituatie | Célibataire — Ongehuwd | Mariée — Gehuwd | Divorcée — Gescheiden | Veuve — Weduwe | ||||
| 2010 | 2011 | 2010 | 2011 | 2010 | 2011 | 2010 | 2011 | |
| Santé. — Gezondheid | 2.99 | 3.07 | 7.11 | 7.26 | 3.53 | 3.32 | 4.12 | 1.80 |
| Sit. Détresse personnelle. — Persoonlijke noodsituatie | 53.57 | 52.94 | 56.02 | 58.65 | 38.02 | 41.92 | 36.08 | 44.14 |
| Sit. Détresse matérielle. — Materiële noodsituatie | 15.54 | 15.44 | 15.90 | 14.59 | 12.67 | 12.10 | 14.43 | 10.81 |
| Problèmes relationnels. — Relationele problemen | 24.36 | 25.44 | 16.48 | 15.91 | 42.64 | 39.78 | 32.99 | 35.14 |
| Viol — inceste. — Verkrachting — incest | 0.24 | 0.15 | 0.10 | 0.05 | 0.15 | 0.64 | 1.03 | 0.00 |
| Réfugiée politique. — Politiek vluchteling | 1.58 | 1.55 | 2.46 | 2.19 | 1.54 | 1.12 | 6.19 | 5.41 |
| Autres. — andere | 1.72 | 1.41 | 1.93 | 1.35 | 1.44 | 1.12 | 5.15 | 2.70 |
| Total. — Totaal | 100.00 | 100.00 | 100.00 | 100.00 | 100.00 | 100.00 | 100.00 | 100.00 |
1.5. Noodsituatie en aantal kinderen
1.5.1. Aantal
| Situation de détresse — Noodsituatie | 0 | 1 | 2 | 3 | ||||
| 2010 | 2011 | 2010 | 2011 | 2010 | 2011 | 2010 | 2011 | |
| Santé. — Gezondheid | 365 | 350 | 330 | 338 | 282 | 296 | 118 | 141 |
| Sit. Détresse personnelle. — Persoonlijke noodsituatie | 7 683 | 7 871 | 2 653 | 2 756 | 2 833 | 2 861 | 1 456 | 1 475 |
| Sit. Détresse matérielle. — Materiële noodsituatie | 1 944 | 2 035 | 1 179 | 1 087 | 876 | 822 | 325 | 324 |
| Problèmes relationnels. — Relationele problemen | 3 566 | 3 766 | 1 755 | 1 809 | 1 087 | 1 074 | 360 | 345 |
| Viol — inceste. — Verkrachting — incest | 37 | 26 | 13 | 12 | 6 | 2 | 1 | 4 |
| Réfugiée politique. — Politiek vluchteling | 228 | 213 | 135 | 111 | 97 | 105 | 38 | 35 |
| Autres. — andere | 247 | 199 | 130 | 109 | 79 | 59 | 42 | 31 |
| Total. — Totaal | 14 070 | 14 460 | 6 195 | 6 222 | 5 260 | 5 219 | 2 340 | 2 355 |
| Situation de détresse — Noodsituatie | 4 | 5 | Plus 5 — Meer dan 5 | |||
| 2010 | 2011 | 2010 | 2011 | 2010 | 2011 | |
| Santé. — Gezondheid | 38 | 35 | 19 | 12 | 6 | 10 |
| Sit. Détresse personnelle. — Persoonlijke noodsituatie | 532 | 530 | 162 | 169 | 79 | 80 |
| Sit. Détresse matérielle. — Materiële noodsituatie | 119 | 112 | 28 | 32 | 8 | 8 |
| Problèmes relationnels. — Relationele problemen | 119 | 108 | 21 | 29 | 16 | 8 |
| Viol — inceste. — Verkrachting — incest | 3 | 3 | 0 | 0 | 0 | 0 |
| Réfugiée politique. — Politiek vluchteling | 13 | 23 | 8 | 5 | 3 | 2 |
| Autres. — andere | 13 | 7 | 0 | 2 | 1 | 0 |
| Total. — Totaal | 837 | 818 | 238 | 249 | 113 | 108 |
1.5.2. Percentage
| Situation de détresse — Noodsituatie | 0 | 1 | 2 | 3 | ||||
| 2010 | 2011 | 2010 | 2011 | 2010 | 2011 | 2010 | 2011 | |
| Santé. — Gezondheid | 2.59 | 2.42 | 5.33 | 5.43 | 5.36 | 5.67 | 5.04 | 5.99 |
| Sit. Détresse personnelle. — Persoonlijke noodsituatie | 54.61 | 54.43 | 42.82 | 44.29 | 53.86 | 54.82 | 62.22 | 62.63 |
| Sit. Détresse matérielle. — Materiële noodsituatie | 13.82 | 14.07 | 19.03 | 17.47 | 16.65 | 15.75 | 13.89 | 13.76 |
| Problèmes relationnels. — Relationele problemen | 25.34 | 26.04 | 28.33 | 29.07 | 20.67 | 20.58 | 15.38 | 14.65 |
| Viol — inceste. — Verkrachting — incest | 0.26 | 0.18 | 0.21 | 0.19 | 0.11 | 0.04 | 0.04 | 0.17 |
| Réfugiée politique. — Politiek vluchteling | 1.62 | 1.47 | 2.18 | 1.78 | 1.84 | 2.01 | 1.62 | 1.49 |
| Autres. — andere | 1.76 | 1.38 | 2.10 | 1.75 | 1.50 | 1.13 | 1.79 | 1.32 |
| Total. — Totaal | 100.00 | 100.00 | 100.00 | 100.00 | 100.00 | 100.00 | 100.00 | 100.00 |
| Situation de détresse — Noodsituatie | 4 | 5 | Plus 5 — Meer dan 5 | |||
| 2010 | 2011 | 2010 | 2011 | 2010 | 2011 | |
| Santé. — Gezondheid | 4.54 | 4.28 | 7.98 | 4.82 | 5.31 | 9.26 |
| Sit. Détresse personnelle. — Persoonlijke noodsituatie | 63.56 | 64.79 | 68.07 | 67.87 | 69.91 | 74.07 |
| Sit. Détresse matérielle. — Materiële noodsituatie | 14.22 | 13.69 | 11.76 | 12.85 | 7.08 | 7.41 |
| Problèmes relationnels. — Relationele problemen | 14.22 | 13.20 | 8.82 | 11.65 | 14.16 | 7.41 |
| Viol — inceste. — Verkrachting — incest | 0.36 | 0.37 | 0.00 | 0.00 | 0.00 | 0.00 |
| Réfugiée politique. — Politiek vluchteling | 1.55 | 2.81 | 3.36 | 2.01 | 2.65 | 1.85 |
| Autres. — andere | 1.55 | 0.86 | 0.00 | 0.80 | 0.88 | 0.00 |
| Total. — Totaal | 100.00 | 100.00 | 100.00 | 100.00 | 100.00 | 100.00 |
2. Voorbehoedmiddelen
2.1. Voorbehoedmiddelen en leeftijdscategorieën
2.1.1. Aantal
| Méthode — Methode | 10-14 | 15-19 | 20-24 | 25-29 | ||||
| 2010 | 2011 | 2010 | 2011 | 2010 | 2011 | 2010 | 2011 | |
| Aucune. — Geen | 44 | 51 | 1 070 | 1 132 | 1 935 | 2 046 | 1 839 | 1 885 |
| Coït interrompu. — Coïtus interruptus | 3 | 0 | 48 | 36 | 104 | 89 | 100 | 119 |
| Abstinence périodique. — Periodieke onthouding | 0 | 2 | 26 | 27 | 92 | 96 | 157 | 171 |
| Spermicides. — Spermacide | 0 | 0 | 1 | 0 | 1 | 2 | 2 | 2 |
| Diaphragme. — Pessarium | 0 | 0 | 7 | 1 | 6 | 6 | 3 | 8 |
| Préservatif. — Condoom | 25 | 19 | 465 | 472 | 669 | 702 | 632 | 634 |
| Pilule. — Pil | 22 | 12 | 809 | 815 | 1 727 | 1 768 | 1 475 | 1 519 |
| Injection contraceptive. — Prikpil | 0 | 0 | 1 | 8 | 18 | 27 | 13 | 18 |
| DIU. — IUD | 0 | 0 | 6 | 7 | 32 | 37 | 42 | 36 |
| Stérilisation homme. — Sterilisatie man | 0 | 0 | 0 | 0 | 1 | 1 | 6 | 7 |
| Stérilisation femmes. — Sterilisatie vrouw | 0 | 0 | 0 | 1 | 1 | 1 | 1 | 1 |
| Stérilisation des deux. — Sterilisatie beiden | 0 | 0 | 0 | 0 | 0 | 0 | 0 | 0 |
| Pilule du lendemain. — « Morning after » pil | 2 | 3 | 35 | 37 | 66 | 82 | 74 | 87 |
| Implant. — Implant | 0 | 0 | 0 | 2 | 8 | 2 | 6 | 17 |
| Patch. — Patch | 0 | 0 | 12 | 13 | 56 | 60 | 60 | 60 |
| Anneau vaginal. — Vaginale ring | 0 | 0 | 26 | 23 | 93 | 102 | 90 | 112 |
| Méthode N.FR.P. — N.F.P.-methode | 0 | 0 | 0 | 1 | 1 | 5 | 6 | 4 |
| Autres. — Andere | 0 | 0 | 0 | 0 | 2 | 1 | 9 | 8 |
| Total. — Totaal | 96 | 87 | 2 506 | 2 575 | 4 812 | 5 027 | 4 515 | 4 688 |
| Pas de réponse. — Geen antwoord | ||||||||
| Total général. — Algemeen totaal | ||||||||
| Méthode — Methode | 30-34 | 35-39 | 40-44 | 45-49 | 50-54 | |||||
| 2010 | 2011 | 2010 | 2011 | 2010 | 2011 | 2010 | 2011 | 2010 | 2011 | |
| Aucune. — Geen | 1 573 | 1 526 | 1 093 | 1 044 | 410 | 424 | 48 | 45 | 0 | 0 |
| Coït interrompu. — Coïtus interruptus | 143 | 101 | 108 | 96 | 36 | 32 | 3 | 4 | 0 | 0 |
| Abstinence périodique. — Periodieke onthouding | 185 | 184 | 156 | 153 | 83 | 91 | 12 | 7 | 0 | 0 |
| Spermicides. — Spermacide | 3 | 5 | 5 | 0 | 1 | 1 | 0 | 0 | 0 | 0 |
| Diaphragme. — Pessarium | 2 | 4 | 5 | 4 | 1 | 1 | 0 | 0 | 0 | 0 |
| Préservatif. — Condoom | 485 | 569 | 352 | 346 | 139 | 130 | 15 | 4 | 0 | 0 |
| Pilule. — Pil | 986 | 1087 | 594 | 621 | 198 | 197 | 9 | 11 | 0 | 0 |
| Injection contraceptive. — Prikpil | 15 | 7 | 8 | 10 | 3 | 1 | 0 | 1 | 0 | 0 |
| DIU. — IUD | 52 | 48 | 34 | 47 | 12 | 8 | 3 | 1 | 0 | 0 |
| Stérilisation homme. — Sterilisatie man | 9 | 9 | 11 | 12 | 2 | 4 | 0 | 0 | 0 | 0 |
| Stérilisation femmes. — Sterilisatie vrouw | 7 | 0 | 2 | 10 | 3 | 0 | 0 | 1 | 0 | 0 |
| Stérilisation des deux. — Sterilisatie beiden | 1 | 0 | 0 | 0 | 0 | 0 | 0 | 0 | 0 | 0 |
| Pilule du lendemain. — « Morning after »pil | 61 | 46 | 31 | 21 | 12 | 12 | 0 | 1 | 0 | 0 |
| Implant. — Implant | 6 | 10 | 11 | 10 | 0 | 0 | 0 | 0 | 0 | 0 |
| Patch. — Patch | 32 | 56 | 25 | 34 | 12 | 9 | 2 | 1 | 1 | 0 |
| Anneau vaginal. — Vaginale ring | 79 | 87 | 48 | 42 | 9 | 11 | 3 | 2 | 0 | 0 |
| Méthode N.FR.P. — N.F.P.-methode | 3 | 3 | 4 | 1 | 2 | 1 | 0 | 0 | 0 | 0 |
| Autres. — Andere | 9 | 3 | 3 | 3 | 4 | 1 | 2 | 0 | 0 | 0 |
| Total. — Totaal | 3 651 | 3 745 | 2 490 | 2 454 | 927 | 923 | 97 | 78 | 1 | 0 |
| Pas de réponse. — Geen antwoord | ||||||||||
| Total général. — Algemeen totaal | ||||||||||
PS. : de 55-jarige vrouw die niet voorkomt in de tabellen (2011) had geen voorbehoedmiddel gebruikt.
2.1.2. Percentage
| Méthode — Methode | 10-14 | 15-19 | 20-24 | 25-29 | ||||
| 2010 | 2011 | 2010 | 2011 | 2010 | 2011 | 2010 | 2011 | |
| Aucune. — Geen | 45.83 | 58.62 | 42.70 | 43.96 | 40.21 | 40.70 | 40.73 | 40.21 |
| Coït interrompu. — Coïtus interruptus | 3.13 | 0.00 | 1.92 | 1.40 | 2.16 | 1.77 | 2.21 | 2.54 |
| Abstinence périodique. — Periodieke onthouding | 0.00 | 2.30 | 1.04 | 1.05 | 1.91 | 1.91 | 3.48 | 3.65 |
| Spermicides. — Spermacide | 0.00 | 0.00 | 0.04 | 0.00 | 0.02 | 0.04 | 0.04 | 0.04 |
| Diaphragme. — Pessarium | 0.00 | 0.00 | 0.28 | 0.04 | 0.12 | 0.12 | 0.07 | 0.17 |
| Préservatif. — Condoom | 26.04 | 21.84 | 18.56 | 18.33 | 13.90 | 13.96 | 14.00 | 13.52 |
| Pilule. — Pil | 22.92 | 13.79 | 32.28 | 31.65 | 35.89 | 35.17 | 32.67 | 32.40 |
| Injection contraceptive. — Prikpil | 0.00 | 0.00 | 0.04 | 0.31 | 0.37 | 0.54 | 0.29 | 0.38 |
| DIU. — IUD | 0.00 | 0.00 | 0.24 | 0.27 | 0.67 | 0.74 | 0.93 | 0.77 |
| Stérilisation homme. — Sterilisatie man | 0.00 | 0.00 | 0.00 | 0.00 | 0.02 | 0.02 | 0.13 | 0.15 |
| Stérilisation femmes. — Sterilisatie vrouw | 0.00 | 0.00 | 0.00 | 0.04 | 0.02 | 0.02 | 0.02 | 0.02 |
| Stérilisation des deux. — Sterilisatie beiden | 0.00 | 0.00 | 0.00 | 0.00 | 0.00 | 0.00 | 0.00 | 0.00 |
| Pilule du lendemain. — « Morning after »pil | 2.08 | 3.45 | 1.40 | 1.44 | 1.37 | 1.63 | 1.64 | 1.86 |
| Implant. — Implant | 0.00 | 0.00 | 0.00 | 0.08 | 0.17 | 0.04 | 0.13 | 0.36 |
| Patch. — Patch | 0.00 | 0.00 | 0.48 | 0.50 | 1.16 | 1.19 | 1.33 | 1.28 |
| Anneau vaginal. — Vaginale ring | 0.00 | 0.00 | 1.04 | 0.89 | 1.93 | 2.03 | 1.99 | 2.39 |
| Méthode N.FR.P. — N.F.P.-methode | 0.00 | 0.00 | 0.00 | 0.04 | 0.02 | 0.10 | 0.13 | 0.09 |
| Autres. — Andere | 0.00 | 0.00 | 0.00 | 0.00 | 0.04 | 0.02 | 0.20 | 0.17 |
| Total. — Totaal | 100.00 | 100.00 | 100.00 | 100.00 | 100.00 | 100.00 | 100.00 | 100.00 |
| Pas de réponse. — Geen antwoord | ||||||||
| Total général. — Algemeen totaal | ||||||||
| Méthode — Methode | 30-34 | 35-39 | 40-44 | 45-49 | 50-54 | |||||
| 2010 | 2011 | 2010 | 2011 | 2010 | 2011 | 2010 | 2011 | 2010 | 2011 | |
| Aucune. — Geen | 43.08 | 40.75 | 43.90 | 42.54 | 44.23 | 45.94 | 49.48 | 57.69 | 0.00 | 0.00 |
| Coït interrompu. — Coïtus interruptus | 3.92 | 2.70 | 4.34 | 3.91 | 3.88 | 3.47 | 3.09 | 5.13 | 0.00 | 0.00 |
| Abstinence périodique. — Periodieke onthouding | 5.07 | 4.91 | 6.27 | 6.23 | 8.95 | 9.86 | 12.37 | 8.97 | 0.00 | 0.00 |
| Spermicides. — Spermacide | 0.08 | 0.13 | 0.20 | 0.00 | 0.11 | 0.11 | 0.00 | 0.00 | 0.00 | 0.00 |
| Diaphragme. — Pessarium | 0.05 | 0.11 | 0.20 | 0.16 | 0.11 | 0.11 | 0.00 | 0.00 | 0.00 | 0.00 |
| Préservatif. — Condoom | 13.28 | 15.19 | 14.14 | 14.10 | 14.99 | 14.08 | 15.46 | 5.13 | 0.00 | 0.00 |
| Pilule. — Pil | 27.01 | 29.03 | 23.86 | 25.31 | 21.36 | 21.34 | 9.28 | 14.10 | 0.00 | 0.00 |
| Injection contraceptive. — Prikpil | 0.41 | 0.19 | 0.32 | 0.41 | 0.32 | 0.11 | 0.00 | 1.28 | 0.00 | 0.00 |
| DIU. — IUD | 1.42 | 1.28 | 1.37 | 1.92 | 1.29 | 0.87 | 3.09 | 1.28 | 0.00 | 0.00 |
| Stérilisation homme. — Sterilisatie man | 0.25 | 0.24 | 0.44 | 0.49 | 0.22 | 0.43 | 0.00 | 0.00 | 0.00 | 0.00 |
| Stérilisation femmes. — Sterilisatie vrouw | 0.19 | 0.00 | 0.08 | 0.41 | 0.32 | 0.00 | 0.00 | 1.28 | 0.00 | 0.00 |
| Stérilisation des deux. — Sterilisatie beiden | 0.03 | 0.00 | 0.00 | 0.00 | 0.00 | 0.00 | 0.00 | 0.00 | 0.00 | 0.00 |
| Pilule du lendemain. — « Morning after »pil | 1.67 | 1.23 | 1.24 | 0.86 | 1.29 | 1.30 | 0.00 | 1.28 | 0.00 | 0.00 |
| Implant. — Implant | 0.16 | 0.27 | 0.44 | 0.41 | 0.00 | 0.00 | 0.00 | 0.00 | 0.00 | 0.00 |
| Patch. — Patch | 0.88 | 1.50 | 1.00 | 1.39 | 1.29 | 0.98 | 2.06 | 1.28 | 100.00 | 0.00 |
| Anneau vaginal. — Vaginale ring | 2.16 | 2.32 | 1.93 | 1.71 | 0.97 | 1.19 | 3.09 | 2.56 | 0.00 | 0.00 |
| Méthode N.FR.P. — N.F.P.-methode | 0.08 | 0.08 | 0.16 | 0.04 | 0.22 | 0.11 | 0.00 | 0.00 | 0.00 | 0.00 |
| Autres. — Andere | 0.25 | 0.08 | 0.12 | 0.12 | 0.43 | 0.11 | 2.06 | 0.00 | 0.00 | 0.00 |
| Total. — Totaal | 100.00 | 100.00 | 100.00 | 100.00 | 100.00 | 100.00 | 100.00 | 100.00 | 100.00 | 100.00 |
| Pas de réponse. — Geen antwoord | ||||||||||
| Total général. — Algemeen totaal | ||||||||||
2.2. Voorbehoedmiddelen en burgerlijke staat
2.2.1. Aantal
| Méthode — Methode | Célibataire — Ongehuwd | Mariée — Gehuwd | Divorcée — Gescheiden | Veuve — Weduwe | ||||
| 2010 | 2011 | 2010 | 2011 | 2010 | 2011 | 2010 | 2011 | |
| Aucune. — Geen | 5 344 | 5 520 | 2 049 | 2 047 | 580 | 559 | 39 | 28 |
| Coït interrompu. — Coïtus interruptus | 306 | 270 | 188 | 163 | 50 | 40 | 1 | 4 |
| Abstinence périodique. — Periodieke onthouding | 383 | 406 | 263 | 274 | 60 | 48 | 5 | 3 |
| Spermicides. — Spermacide | 9 | 7 | 3 | 2 | 1 | 1 | 0 | 0 |
| Diaphragme. — Pessarium | 16 | 16 | 8 | 5 | 0 | 3 | 0 | 0 |
| Préservatif. — Condoom | 1 983 | 2 102 | 640 | 610 | 155 | 151 | 4 | 13 |
| Pilule. — Pil | 4 112 | 4 312 | 1 328 | 1 350 | 366 | 348 | 14 | 20 |
| Injection contraceptive. — Prikpil | 39 | 49 | 15 | 20 | 4 | 3 | 0 | 0 |
| DIU. — IUD | 95 | 93 | 70 | 78 | 15 | 12 | 1 | 1 |
| Stérilisation homme. — Sterilisatie man | 12 | 15 | 13 | 17 | 4 | 1 | 0 | 0 |
| Stérilisation femmes. — Sterilisatie vrouw | 3 | 6 | 11 | 8 | 0 | 0 | 0 | 0 |
| Stérilisation des deux. — Sterilisatie beiden | 0 | 0 | 1 | 0 | 0 | 0 | 0 | 0 |
| Pilule du lendemain. — « Morning after »pil | 203 | 230 | 50 | 39 | 27 | 18 | 1 | 2 |
| Implant. — Implant | 16 | 21 | 11 | 18 | 4 | 2 | 0 | 0 |
| Patch. — Patch | 115 | 125 | 78 | 95 | 7 | 12 | 0 | 1 |
| Anneau vaginal. — Vaginale ring | 250 | 268 | 68 | 81 | 27 | 30 | 3 | 0 |
| Méthode N.FR.P. — N.F.P.-methode | 11 | 11 | 3 | 2 | 1 | 2 | 1 | 0 |
| Autres. — Andere | 13 | 4 | 16 | 11 | 0 | 1 | 0 | 0 |
| Total. — Totaal | 12 910 | 13 455 | 4 815 | 4 820 | 1 301 | 1 231 | 69 | 72 |
| Pas de réponse. — Geen antwoord | ||||||||
| Total général. — Algemeen totaal | ||||||||
2.2.2. Percentage
| Méthode — Methode | Célibataire — Ongehuwd | Mariée — Gehuwd | Divorcée — Gescheiden | Veuve — Weduwe | ||||
| 2010 | 2011 | 2010 | 2011 | 2010 | 2011 | 2010 | 2011 | |
| Aucune. — Geen | 41.39 | 41.03 | 42.55 | 42.47 | 44.58 | 45.41 | 56.52 | 38.89 |
| Coït interrompu. — Coïtus interruptus | 2.37 | 2.01 | 3.90 | 3.38 | 3.84 | 3.25 | 1.45 | 5.56 |
| Abstinence périodique. — Periodieke onthouding | 2.97 | 3.02 | 5.46 | 5.68 | 4.61 | 3.90 | 7.25 | 4.17 |
| Spermicides. — Spermacide | 0.07 | 0.05 | 0.06 | 0.04 | 0.08 | 0.08 | 0.00 | 0.00 |
| Diaphragme. — Pessarium | 0.12 | 0.12 | 0.17 | 0.10 | 0.00 | 0.24 | 0.00 | 0.00 |
| Préservatif. — Condoom | 15.36 | 15.62 | 13.29 | 12.66 | 11.91 | 12.27 | 5.80 | 18.06 |
| Pilule. — Pil | 31.85 | 32.05 | 27.58 | 28.01 | 28.13 | 28.27 | 20.29 | 27.78 |
| Injection contraceptive. — Prikpil | 0.30 | 0.36 | 0.31 | 0.41 | 0.31 | 0.24 | 0.00 | 0.00 |
| DIU. — IUD | 0.74 | 0.69 | 1.45 | 1.62 | 1.15 | 0.97 | 1.45 | 1.39 |
| Stérilisation homme. — Sterilisatie man | 0.09 | 0.11 | 0.27 | 0.35 | 0.31 | 0.08 | 0.00 | 0.00 |
| Stérilisation femmes. — Sterilisatie vrouw | 0.02 | 0.04 | 0.23 | 0.17 | 0.00 | 0.00 | 0.00 | 0.00 |
| Stérilisation des deux. — Sterilisatie beiden | 0.00 | 0.00 | 0.02 | 0.00 | 0.00 | 0.00 | 0.00 | 0.00 |
| Pilule du lendemain. — « Morning after »pil | 1.57 | 1.71 | 1.04 | 0.81 | 2.08 | 1.46 | 1.45 | 2.78 |
| Implant. — Implant | 0.12 | 0.16 | 0.23 | 0.37 | 0.31 | 0.16 | 0.00 | 0.00 |
| Patch. — Patch | 0.89 | 0.93 | 1.62 | 1.97 | 0.54 | 0.97 | 0.00 | 1.39 |
| Anneau vaginal. — Vaginale ring | 1.94 | 1.99 | 1.41 | 1.68 | 2.08 | 2.44 | 4.35 | 0.00 |
| Méthode N.FR.P. — N.F.P.-methode | 0.09 | 0.08 | 0.06 | 0.04 | 0.08 | 0.16 | 1.45 | 0.00 |
| Autres. — Andere | 0.10 | 0.03 | 0.33 | 0.23 | 0.00 | 0.08 | 0.00 | 0.00 |
| Total. — Totaal | 100.00 | 100.00 | 100.00 | 100.00 | 100.00 | 100.00 | 100.00 | 100.00 |
| Pas de réponse. — Geen antwoord | ||||||||
| Total général. — Algemeen totaal | ||||||||
2.3. Voorbehoedmiddelen en aantal kinderen
2.3.1. Aantal
| Méthode — Methode | 0 | 1 | 2 | 3 | ||||
| 2010 | 2011 | 2010 | 2011 | 2010 | 2011 | 2010 | 2011 | |
| Aucune. — Geen | 3 676 | 3 805 | 1 827 | 1 828 | 1 496 | 1 490 | 655 | 643 |
| Coït interrompu. — Coïtus interruptus | 194 | 175 | 125 | 107 | 134 | 118 | 68 | 48 |
| Abstinence périodique. — Periodieke onthouding | 244 | 242 | 145 | 158 | 171 | 203 | 100 | 99 |
| Spermicides. — Spermacide | 3 | 7 | 4 | 2 | 5 | 1 | 1 | 0 |
| Diaphragme. — Pessarium | 14 | 9 | 3 | 6 | 3 | 5 | 0 | 3 |
| Préservatif. — Condoom | 1 570 | 1 598 | 504 | 542 | 438 | 475 | 201 | 181 |
| Pilule. — Pil | 2 658 | 2 794 | 1 324 | 1 361 | 1 138 | 1 111 | 465 | 524 |
| Injection contraceptive. — Prikpil | 12 | 27 | 17 | 15 | 15 | 16 | 7 | 10 |
| DIU. — IUD | 34 | 38 | 46 | 36 | 57 | 73 | 30 | 22 |
| Stérilisation homme. — Sterilisatie man | 3 | 5 | 4 | 5 | 12 | 10 | 7 | 10 |
| Stérilisation femmes. — Sterilisatie vrouw | 1 | 1 | 1 | 4 | 7 | 5 | 2 | 1 |
| Stérilisation des deux. — Sterilisatie beiden | 0 | 0 | 0 | 0 | 1 | 0 | 0 | 0 |
| Pilule du lendemain. — « Morning after »pil | 162 | 178 | 57 | 50 | 41 | 46 | 16 | 13 |
| Implant. — Implant | 10 | 6 | 5 | 11 | 5 | 10 | 9 | 10 |
| Patch. — Patch | 77 | 68 | 44 | 56 | 37 | 51 | 20 | 39 |
| Anneau vaginal. — Vaginale ring | 180 | 181 | 72 | 79 | 61 | 73 | 26 | 31 |
| Méthode N.FR.P. — N.F.P.-methode | 7 | 10 | 4 | 1 | 3 | 3 | 1 | 0 |
| Autres. — Andere | 6 | 1 | 10 | 5 | 9 | 8 | 2 | 2 |
| Total. — Totaal | 8 851 | 9 145 | 4 192 | 4 266 | 3 633 | 3 698 | 1 610 | 1 636 |
| Pas de réponse. — Geen antwoord | ||||||||
| Total général. — Algemeen totaal | ||||||||
| Méthode — Methode | 4 | 5 | Plus 5 — Meer dan 5 | |||
| 2010 | 2011 | 2010 | 2011 | 2010 | 2011 | |
| Aucune. — Geen | 238 | 271 | 81 | 81 | 39 | 36 |
| Coït interrompu. — Coïtus interruptus | 16 | 21 | 6 | 5 | 2 | 3 |
| Abstinence périodique. — Periodieke onthouding | 40 | 20 | 10 | 6 | 1 | 3 |
| Spermicides. — Spermacide | 0 | 0 | 0 | 0 | 0 | 0 |
| Diaphragme. — Pessarium | 3 | 1 | 1 | 0 | 0 | 0 |
| Préservatif. — Condoom | 56 | 60 | 8 | 16 | 5 | 4 |
| Pilule. — Pil | 161 | 163 | 47 | 50 | 27 | 27 |
| Injection contraceptive. — Prikpil | 4 | 2 | 1 | 1 | 2 | 1 |
| DIU. — IUD | 11 | 11 | 2 | 4 | 1 | 0 |
| Stérilisation homme. — Sterilisatie man | 2 | 1 | 1 | 2 | 0 | 0 |
| Stérilisation femmes. — Sterilisatie vrouw | 3 | 1 | 0 | 1 | 0 | 1 |
| Stérilisation des deux. — Sterilisatie beiden | 0 | 0 | 0 | 0 | 0 | 0 |
| Pilule du lendemain. — « Morning after »pil | 5 | 1 | 0 | 0 | 0 | 1 |
| Implant. — Implant | 1 | 3 | 1 | 1 | 0 | 0 |
| Patch. — Patch | 17 | 15 | 3 | 2 | 2 | 2 |
| Anneau vaginal. — Vaginale ring | 6 | 10 | 3 | 5 | 0 | 0 |
| Méthode N.FR.P. — N.F.P.-methode | 0 | 1 | 1 | 0 | 0 | 0 |
| Autres. — Andere | 2 | 0 | 0 | 0 | 0 | 0 |
| Total. — Totaal | 565 | 581 | 165 | 174 | 79 | 78 |
| Pas de réponse. — Geen antwoord | ||||||
| Total général. — Algemeen totaal | ||||||
2.3.2. Percentage
| Méthode — Methode | 0 | 1 | 2 | 3 | ||||
| 2010 | 2011 | 2010 | 2011 | 2010 | 2011 | 2010 | 2011 | |
| Aucune. — Geen | 41.53 | 41.61 | 43.58 | 42.85 | 41.18 | 40.29 | 40.68 | 39.30 |
| Coït interrompu. — Coïtus interruptus | 2.19 | 1.91 | 2.98 | 2.51 | 3.69 | 3.19 | 4.22 | 2.93 |
| Abstinence périodique. — Periodieke onthouding | 2.76 | 2.65 | 3.46 | 3.70 | 4.71 | 5.49 | 6.21 | 6.05 |
| Spermicides. — Spermacide | 0.03 | 0.08 | 0.10 | 0.05 | 0.14 | 0.03 | 0.06 | 0.00 |
| Diaphragme. — Pessarium | 0.16 | 0.10 | 0.07 | 0.14 | 0.08 | 0.14 | 0.00 | 0.18 |
| Préservatif. — Condoom | 17.74 | 17.47 | 12.02 | 12.71 | 12.06 | 12.84 | 12.48 | 11.06 |
| Pilule. — Pil | 30.03 | 30.55 | 31.58 | 31.90 | 31.32 | 30.04 | 28.88 | 32.03 |
| Injection contraceptive. — Prikpil | 0.14 | 0.30 | 0.41 | 0.35 | 0.41 | 0.43 | 0.43 | 0.61 |
| DIU. — IUD | 0.38 | 0.42 | 1.10 | 0.84 | 1.57 | 1.97 | 1.86 | 1.34 |
| Stérilisation homme. — Sterilisatie man | 0.03 | 0.05 | 0.10 | 0.12 | 0.33 | 0.27 | 0.43 | 0.61 |
| Stérilisation femmes. — Sterilisatie vrouw | 0.01 | 0.01 | 0.02 | 0.09 | 0.19 | 0.14 | 0.12 | 0.06 |
| Stérilisation des deux. — Sterilisatie beiden | 0.00 | 0.00 | 0.00 | 0.00 | 0.03 | 0.00 | 0.00 | 0.00 |
| Pilule du lendemain. — « Morning after »pil | 1.83 | 1.95 | 1.36 | 1.17 | 1.13 | 1.24 | 0.99 | 0.79 |
| Implant. — Implant | 0.11 | 0.07 | 0.12 | 0.26 | 0.14 | 0.27 | 0.56 | 0.61 |
| Patch. — Patch | 0.87 | 0.74 | 1.05 | 1.31 | 1.02 | 1.38 | 1.24 | 2.38 |
| Anneau vaginal. — Vaginale ring | 2.03 | 1.98 | 1.72 | 1.85 | 1.68 | 1.97 | 1.61 | 1.89 |
| Méthode N.FR.P. — N.F.P.-methode | 0.08 | 0.11 | 0.10 | 0.02 | 0.08 | 0.08 | 0.06 | 0.00 |
| Autres. — Andere | 0.07 | 0.01 | 0.24 | 0.12 | 0.25 | 0.22 | 0.12 | 0.12 |
| Total. — Totaal | 100.00 | 100.00 | 100.00 | 100.00 | 100.00 | 100.00 | 100.00 | 100.00 |
| Pas de réponse. — Geen antwoord | ||||||||
| Total général. — Algemeen totaal | ||||||||
| Méthode — Methode | 4 | 5 | Plus 5 — Meer dan 5 | |||
| 2010 | 2011 | 2010 | 2011 | 2010 | 2011 | |
| Aucune. — Geen | 42.12 | 46.64 | 49.09 | 46.55 | 49.37 | 46.15 |
| Coït interrompu. — Coïtus interruptus | 2.83 | 3.61 | 3.64 | 2.87 | 2.53 | 3.85 |
| Abstinence périodique. — Periodieke onthouding | 7.08 | 3.44 | 6.06 | 3.45 | 1.27 | 3.85 |
| Spermicides. — Spermacide | 0.00 | 0.00 | 0.00 | 0.00 | 0.00 | 0.00 |
| Diaphragme. — Pessarium | 0.53 | 0.17 | 0.61 | 0.00 | 0.00 | 0.00 |
| Préservatif. — Condoom | 9.91 | 10.33 | 4.85 | 9.20 | 6.33 | 5.13 |
| Pilule. — Pil | 28.50 | 28.06 | 28.48 | 28.74 | 34.18 | 34.62 |
| Injection contraceptive. — Prikpil | 0.71 | 0.34 | 0.61 | 0.57 | 2.53 | 1.28 |
| DIU. — IUD | 1.95 | 1.89 | 1.21 | 2.30 | 1.27 | 0.00 |
| Stérilisation homme. — Sterilisatie man | 0.35 | 0.17 | 0.61 | 1.15 | 0.00 | 0.00 |
| Stérilisation femmes. — Sterilisatie vrouw | 0.53 | 0.17 | 0.00 | 0.57 | 0.00 | 1.28 |
| Stérilisation des deux. — Sterilisatie beiden | 0.00 | 0.00 | 0.00 | 0.00 | 0.00 | 0.00 |
| Pilule du lendemain. — « Morning after"pil | 0.88 | 0.17 | 0.00 | 0.00 | 0.00 | 1.28 |
| Implant. — Implant | 0.18 | 0.52 | 0.61 | 0.57 | 0.00 | 0.00 |
| Patch. — Patch | 3.01 | 2.58 | 1.82 | 1.15 | 2.53 | 2.56 |
| Anneau vaginal. — Vaginale ring | 1.06 | 1.72 | 1.82 | 2.87 | 0.00 | 0.00 |
| Méthode N.FR.P. — N.F.P.-methode | 0.00 | 0.17 | 0.61 | 0.00 | 0.00 | 0.00 |
| Autres. — Andere | 0.35 | 0.00 | 0.00 | 0.00 | 0.00 | 0.00 |
| Total. — Totaal | 100.00 | 100.00 | 100.00 | 100.00 | 100.00 | 100.00 |
| Pas de réponse. — Geen antwoord | ||||||
| Total général. — Algemeen totaal | ||||||
3. Methode van zwangerschapsafbreking
3.1. Methode van zwangerschapsafbreking en verwikkelingen
3.1.1. Aantal
| Complication — Verwikkeling | Aspiration — Aspiratie | Curetage — Curettage | Prostaglandine — Prostaglandine | |||
| 2010 | 2011 | 2010 | 2011 | 2010 | 2011 | |
| Aucune. — Geen | 13 823 | 14 042 | 1 094 | 1 138 | 93 | 77 |
| Hémorragie. — Bloedverlies | 17 | 19 | 15 | 15 | 3 | 1 |
| Perforation. — Perforatie | 6 | 7 | 6 | 7 | 0 | 0 |
| Déchirure. — Cervixscheur | 6 | 3 | 9 | 9 | 0 | 0 |
| Autres. — Andere | 33 | 34 | 0 | 0 | 1 | 1 |
| Total. — Totaal | 13 885 | 14 105 | 1 124 | 1 169 | 97 | 79 |
| Complication — Verwikkeling | Mifépristone — Mifepristone | Mifépr. + curetage — Mifepr.+curettage | Autres — Andere | |||
| 2010 | 2011 | 2010 | 2011 | 2010 | 2011 | |
| Aucune. — Geen | 3 880 | 4 101 | 49 | 36 | 23 | 24 |
| Hémorragie. — Bloedverlies | 9 | 11 | 1 | 4 | 0 | 1 |
| Perforation. — Perforatie | 0 | 0 | 0 | 0 | 0 | 0 |
| Déchirure. — Cervixscheur | 1 | 0 | 0 | 0 | 0 | 0 |
| Autres. — Andere | 21 | 45 | 2 | 1 | 3 | 2 |
| Total. — Totaal | 3 911 | 4 157 | 52 | 41 | 26 | 27 |
3.1.2. Percentage
| Complication — Verwikkeling | Aspiration — Aspiratie | Curetage — Curettage | Prostaglandine — Prostaglandine | |||
| 2010 | 2011 | 2010 | 2011 | 2010 | 2011 | |
| Aucune. — Geen | 99.55 | 99.55 | 97.33 | 97.35 | 95.88 | 97.47 |
| Hémorragie. — Bloedverlies | 0.12 | 0.13 | 1.33 | 1.28 | 3.09 | 1.27 |
| Perforation. — Perforatie | 0.04 | 0.05 | 0.53 | 0.60 | 0.00 | 0.00 |
| Déchirure. — Cervixscheur | 0.04 | 0.02 | 0.80 | 0.77 | 0.00 | 0.00 |
| Autres. — Andere | 0.24 | 0.24 | 0.00 | 0.00 | 1.03 | 1.27 |
| Total. — Totaal | 100.00 | 100.00 | 100.00 | 100.00 | 100.00 | 100.00 |
| Complication — Verwikkeling | Mifépristone — Mifepristone | Mifér.+curetage — Mifepr.+curettage | Autres — Andere | |||
| 2010 | 2011 | 2010 | 2011 | 2010 | 2011 | |
| Aucune. — Geen | 99.21 | 98.65 | 94.23 | 87.80 | 88.46 | 88.89 |
| Hémorragie. — Bloedverlies | 0.23 | 0.26 | 1.92 | 9.76 | 0.00 | 3.70 |
| Perforation. — Perforatie | 0.00 | 0.00 | 0.00 | 0.00 | 0.00 | 0.00 |
| Déchirure. — Cervixscheur | 0.03 | 0.00 | 0.00 | 0.00 | 0.00 | 0.00 |
| Autres. — Andere | 0.54 | 1.08 | 3.85 | 2.44 | 11.54 | 7.41 |
| Total. — Totaal | 100.00 | 100.00 | 100.00 | 100.00 | 100.00 | 100.00 |
3.2. Methode van zwangerschapsafbreking en verdoving
3.2.1. Aantal
| Anesthésie — Verdoving | Aspiration — Aspiratie | Curetage — Curettage | Prostaglandine — Prostaglandine | |||
| 2010 | 2011 | 2010 | 2011 | 2010 | 2011 | |
| Aucune. — Geen | 271 | 206 | 47 | 45 | 66 | 47 |
| Loco-régionale. — Loco-regionaal | 12 564 | 12 694 | 264 | 256 | 20 | 26 |
| Narcose. — Narcose | 1 049 | 1 203 | 812 | 867 | 8 | 4 |
| Autres. — Andere | 1 | 2 | 1 | 1 | 3 | 2 |
| Total. — Totaal | 13 885 | 14 105 | 1 124 | 1 169 | 97 | 79 |
| Anesthésie — Verdoving | Mifépristone — Mimifepristone | Mifépr. + curetage — Mifepr.+ curettage | Autres — Andere | |||
| 2010 | 2011 | 2010 | 2011 | 2010 | 2011 | |
| Aucune. — Geen | 3 816 | 4 072 | 10 | 7 | 13 | 17 |
| Loco-régionale. — Loco-regionaal | 84 | 74 | 21 | 17 | 7 | 7 |
| Narcose. — Narcose | 10 | 5 | 21 | 17 | 2 | 2 |
| Autres. — Andere | 1 | 6 | 0 | 0 | 4 | 1 |
| Total. — Totaal | 3 911 | 4 157 | 52 | 41 | 26 | 27 |
3.2.2. Percentage
| Anesthésie — Verdoving | Aspiration — Aspiratie | Curetage — Curettage | Prostaglandine — Prostaglandine | |||
| 2010 | 2011 | 2010 | 2011 | 2010 | 2011 | |
| Aucune. — Geen | 1.95 | 1.46 | 4.18 | 3.85 | 68.04 | 59.49 |
| Loco-régionale. — Loco-regionaal | 90.49 | 90.00 | 23.49 | 21.90 | 20.62 | 32.91 |
| Narcose. — Narcose | 7.55 | 8.53 | 72.24 | 74.17 | 8.25 | 5.06 |
| Autres. — Andere | 0.01 | 0.01 | 0.09 | 0.09 | 3.09 | 2.53 |
| Total. — Totaal | 100.00 | 100.00 | 100.00 | 100.00 | 100.00 | 100.00 |
| Anesthésie — Verdoving | Mifépristone — Mifepristone | Mifépr. + curetage — Mifepr.+ curettage | Autres — Andere | |||
| 2010 | 2011 | 2010 | 2011 | 2010 | 2011 | |
| Aucune. — Geen | 97.57 | 97.96 | 19.23 | 17.07 | 50.00 | 62.96 |
| Loco-régionale. — Loco-regionaal | 2.15 | 1.78 | 40.38 | 41.46 | 26.92 | 25.93 |
| Narcose. — Narcose | 0.26 | 0.12 | 40.38 | 41.46 | 7.69 | 7.41 |
| Autres. — Andere | 0.03 | 0.14 | 0.00 | 0.00 | 15.38 | 3.70 |
| Total. — Totaal | 100.00 | 100.00 | 100.00 | 100.00 | 100.00 | 100.00 |
3.3. Methode van zwangerschapsafbrekingen leeftijdscategorieën
3.3.1. Aantal
| Méthode — Methode | 10-14 | 15-19 | 20-24 | 25-29 | ||||
| 2010 | 2011 | 2010 | 2011 | 2010 | 2011 | 2010 | 2011 | |
| Aspiration. — Aspiratie | 76 | 65 | 1 933 | 1 966 | 3 516 | 3 659 | 3 166 | 3 286 |
| Curetage. — Curettage | 7 | 6 | 145 | 163 | 264 | 286 | 256 | 282 |
| Prostaglandine. — Prostaglandine | 0 | 0 | 9 | 6 | 14 | 11 | 29 | 25 |
| Mifépristone. — Mifepristone | 13 | 16 | 412 | 432 | 1 009 | 1 063 | 1 050 | 1 077 |
| Mifépristone + curetage. — Mifepr,+curettage | 0 | 0 | 6 | 8 | 8 | 7 | 9 | 10 |
| Autres. — Andere | 0 | 0 | 1 | 0 | 1 | 1 | 5 | 8 |
| Total. — Totaal | 96 | 87 | 2 506 | 2 575 | 4 812 | 5 027 | 4 515 | 4 688 |
| Méthode — Methode | 30-34 | 35-39 | 40-44 | 45-49 | 50-54 | |||||
| 2010 | 2011 | 2010 | 2011 | 2010 | 2011 | 2010 | 2011 | 2010 | 2011 | |
| Aspiration. — Aspiratie | 2 621 | 2 607 | 1 835 | 1 813 | 665 | 650 | 73 | 59 | 0 | 0 |
| Curetage. — Curettage | 225 | 236 | 159 | 146 | 61 | 45 | 6 | 5 | 1 | 0 |
| Prostaglandine. — Prostaglandine | 26 | 21 | 11 | 11 | 8 | 5 | 0 | 0 | 0 | 0 |
| Mifépristone. — Mifepristone | 752 | 857 | 471 | 477 | 187 | 220 | 17 | 14 | 0 | 0 |
| Mifépristone + curetage. — Mifepr,+curettage | 17 | 11 | 7 | 4 | 4 | 1 | 1 | 0 | 0 | 0 |
| Autres. — Andere | 10 | 13 | 7 | 3 | 2 | 2 | 0 | 0 | 0 | 0 |
| Total. — Totaal | 3 651 | 3 745 | 2 490 | 2 454 | 927 | 923 | 97 | 78 | 1 | 0 |
3.3.2. Percentage
| Méthode — Methode | 10-14 | 15-19 | 20-24 | 25-29 | ||||
| 2010 | 2011 | 2010 | 2011 | 2010 | 2011 | 2010 | 2011 | |
| Aspiration. — Aspiratie | 79.17 | 74.71 | 77.13 | 76.35 | 73.07 | 72.79 | 70.12 | 70.09 |
| Curetage. — Curettage | 7.29 | 6.90 | 5.79 | 6.33 | 5.49 | 5.69 | 5.67 | 6.02 |
| Prostaglandine. — Prostaglandine | 0.00 | 0.00 | 0.36 | 0.23 | 0.29 | 0.22 | 0.64 | 0.53 |
| Mifépristone. — Mifepristone | 13.54 | 18.39 | 16.44 | 16.78 | 20.97 | 21.15 | 23.26 | 22.97 |
| Mifépristone + curetage. — Mifepr,+curettage | 0.00 | 0.00 | 0.24 | 0.31 | 0.17 | 0.14 | 0.20 | 0.21 |
| Autres. — Andere | 0.00 | 0.00 | 0.04 | 0.00 | 0.02 | 0.02 | 0.11 | 0.17 |
| Total. — Totaal | 100.00 | 100.00 | 100.00 | 100.00 | 100.00 | 100.00 | 100.00 | 100.00 |
| Méthode — Methode | 30-34 | 35-39 | 40-44 | 45-49 | 50-54 | |||||
| 2010 | 2011 | 2010 | 2011 | 2010 | 2011 | 2010 | 2011 | 2010 | 2011 | |
| Aspiration. — Aspiratie | 71.79 | 69.61 | 73.69 | 73.88 | 71.74 | 70.42 | 75.26 | 75.64 | 0.00 | 0.00 |
| Curetage. — Curettage | 6.16 | 6.30 | 6.39 | 5.95 | 6.58 | 4.88 | 6.19 | 6.41 | 100.00 | 0.00 |
| Prostaglandine. — Prostaglandine | 0.71 | 0.56 | 0.44 | 0.45 | 0.86 | 0.54 | 0.00 | 0.00 | 0.00 | 0.00 |
| Mifépristone. — Mifepristone | 20.60 | 22.88 | 18.92 | 19.44 | 20.17 | 23.84 | 17.53 | 17.95 | 0.00 | 0.00 |
| Mifépristone + curetage. — Mifepr,+curettage | 0.47 | 0.29 | 0.28 | 0.16 | 0.43 | 0.11 | 1.03 | 0.00 | 0.00 | 0.00 |
| Autres. — Andere | 0.27 | 0.35 | 0.28 | 0.12 | 0.22 | 0.22 | 0.00 | 0.00 | 0.00 | 0.00 |
| Total. — Totaal | 100.00 | 100.00 | 100.00 | 100.00 | 100.00 | 100.00 | 100.00 | 100.00 | 100.00 | 100.00 |
PS. : Bij de 55-jarige vrouw die niet voorkomt in de tabellen (2011) werd mifepristone toegepast.
3.4. Methode van zwangerschapsafbreking en opnameduur
3.4.1. Aantal
| Hospitalisation — Opnameduur | Aspiration — Aspiratie | Curetage — Curettage | Prostaglandione — Prostaglandine | |||
| 2010 | 2011 | 2010 | 2011 | 2010 | 2011 | |
| Ambulatoire. — Ambulant | 12 904 | 13 207 | 283 | 307 | 41 | 32 |
| 24 heures ou moins. — 24 uur of minder | 968 | 874 | 824 | 850 | 23 | 17 |
| Plus de 24 heures. — Meer dan 24 uur | 13 | 24 | 17 | 12 | 33 | 30 |
| Total. — Totaal | 13 885 | 14 105 | 1 124 | 1 169 | 97 | 79 |
| Hospitalisation — Opnameduur | Mifépristone — Mifepristone | Mifépr. + curetage — Mifepr. + curettage | Autres — Andere | |||
| 2010 | 2011 | 2010 | 2011 | 2010 | 2011 | |
| Ambulatoire. — Ambulant | 3 581 | 3 903 | 24 | 20 | 0 | 1 |
| 24 heures ou moins. — 24 uur of minder | 281 | 219 | 23 | 14 | 9 | 11 |
| Plus de 24 heures. — Meer dan 24 uur | 49 | 35 | 5 | 7 | 17 | 15 |
| Total. — Totaal | 3 911 | 4 157 | 52 | 41 | 26 | 27 |
3.4.2. Percentage
| Hospitalisation — Opnameduur | Aspiration — Aspiratie | Curetage — Curettage | Prostalglandine — Prostaglandine | |||
| 2010 | 2011 | 2010 | 2011 | 2010 | 2011 | |
| Ambulatoire. — Ambulant | 92.93 | 93.63 | 25.18 | 26.26 | 42.27 | 40.51 |
| 24 heures ou moins. — 24 uur of minder | 6.97 | 6.20 | 73.31 | 72.71 | 23.71 | 21.52 |
| Plus de 24 heures. — Meer dan 24 uur | 0.09 | 0.17 | 1.51 | 1.03 | 34.02 | 37.97 |
| Total. — Totaal | 100.00 | 100.00 | 100.00 | 100.00 | 100.00 | 100.00 |
| Hospitalisation — Opnameduur | Mifépristone — Mifepristone | Mifépr. + curetage — Mifepr. + curettage | Autres — Andere | |||
| 2010 | 2011 | 2010 | 2011 | 2010 | 2011 | |
| Ambulatoire. — Ambulant | 91.56 | 93.89 | 46.15 | 48.78 | 0.00 | 3.70 |
| 24 heures ou moins. — 24 uur of minder | 7.18 | 5.27 | 44.23 | 34.15 | 34.62 | 40.74 |
| Plus de 24 heures. — Meer dan 24 uur | 1.25 | 0.84 | 9.62 | 17.07 | 65.38 | 55.56 |
| Total. — Totaal | 100.00 | 100.00 | 100.00 | 100.00 | 100.00 | 100.00 |
4. Opnameduur
4.1. Opnameduur en verdoving
4.1.1. Aantal
| Hospitalisation — Opnameduur | Aucune — Geen | Loco-régionale — Loco-regionaal | Narcose — Narcose | Autres — Andere | ||||
| 2010 | 2011 | 2010 | 2011 | 2010 | 2011 | 2010 | 2011 | |
| Ambulatoire. — Ambulant | 3 863 | 4 109 | 12 673 | 12 773 | 296 | 586 | 1 | 2 |
| 24 heures ou moins. — 24 uur of minder | 321 | 243 | 226 | 249 | 1 579 | 1 487 | 2 | 6 |
| Plus de 24 heures. — Meer dan 24 uur | 39 | 42 | 61 | 52 | 27 | 25 | 7 | 4 |
| Total. — Totaal | 4 223 | 4 394 | 12 960 | 13 074 | 1 902 | 2 098 | 10 | 12 |
4.1.2. %
| Hospitalisation — Opnameduur | Aucune — Geen | Loco-régionale — Loco-regionaal | Narcose — Narcose | Autres — Andere | ||||
| 2010 | 2011 | 2010 | 2011 | 2010 | 2011 | 2010 | 2011 | |
| Ambulatoire. — Ambulant | 91.48 | 93.51 | 97.79 | 97.70 | 15.56 | 27.93 | 10.00 | 16.67 |
| 24 heures ou moins. — 24 uur of minder | 7.60 | 5.53 | 1.74 | 1.90 | 83.02 | 70.88 | 20.00 | 50.00 |
| Plus de 24 heures. — Meer dan 24 uur | 0.92 | 0.96 | 0.47 | 0.40 | 1.42 | 1.19 | 70.00 | 33.33 |
| Total. — Totaal | 100.00 | 100.00 | 100.00 | 100.00 | 100.00 | 100.00 | 100.00 | 100.00 |
4.2. Opnameduur en verwikkelingen
4.2.1. Aantal
| Hospitalisation — Opnameduur | Aucune — Geen | Hémorragie — Bloedverlies | Perforation — Perforatie | Déchirure — Cervixscheur | Autres — Andere | |||||
| 2010 | 2011 | 2010 | 2011 | 2010 | 2011 | 2010 | 2011 | 2010 | 2011 | |
| Ambulatoire. — Ambulant | 16 777 | 17 393 | 13 | 20 | 3 | 5 | 3 | 2 | 37 | 50 |
| 24 heures ou moins. — 24 uur of minder | 2 074 | 1 923 | 23 | 23 | 6 | 5 | 12 | 10 | 13 | 24 |
| Plus de 24 heures. — Meer dan 24 uur | 111 | 102 | 9 | 8 | 3 | 4 | 1 | 0 | 10 | 9 |
| Total. — Totaal | 18 962 | 19 418 | 45 | 51 | 12 | 14 | 16 | 12 | 60 | 83 |
4.2.2. %
| Hospitalisation — Opnameduur | Aucune — Geen | Hémorragie — Bloedverlies | Perforation — Perforatie | Déchirure — Cervixscheur | Autres — Andere | |||||
| 2010 | 2011 | 2010 | 2011 | 2010 | 2011 | 2010 | 2011 | 2010 | 2011 | |
| Ambulatoire. — Ambulant | 88.48 | 89.57 | 28.89 | 39.22 | 25.00 | 35.71 | 18.75 | 16.67 | 61.67 | 60.24 |
| 24 heures ou moins. — 24 uur of minder | 10.94 | 9.90 | 51.11 | 45.10 | 50.00 | 35.71 | 75.00 | 83.33 | 21.67 | 28.92 |
| Plus de 24 heures. — Meer dan 24 uur | 0.59 | 0.53 | 20.00 | 15.69 | 25.00 | 28.57 | 6.25 | 0.00 | 16.67 | 10.84 |
| Total. — Totaal | 100.00 | 100.00 | 100.00 | 100.00 | 100.00 | 100.00 | 100.00 | 100.00 | 100.00 | 100.00 |
5. Ziekenhuis of centrum
5.1. Ziekenhuis of centrum, naar de woonplaats van de vrouw
5.1.1. Aantal
| Domicile — Woonplaats | Hôpital — Ziekenhuis | Centre — Centrum | Nombre d'IVG — Aantal abortussen | |||
| 2010 | 2011 | 2010 | 2011 | 2010 | 2011 | |
| Anvers. — Antwerpen | 44 | 43 | 2 919 | 3 020 | 2 963 | 3 063 |
| Flandre occidentale. — West-Vlaanderen | 39 | 40 | 1 093 | 1 168 | 1 132 | 1 208 |
| Flandre orientale. — Oost-Vlaanderen | 142 | 176 | 1 555 | 1 611 | 1 697 | 1 787 |
| Hainaut. — Henegouwen | 1 386 | 1 293 | 989 | 1 312 | 2 375 | 2 605 |
| Liège. — Luik | 606 | 701 | 1 540 | 1 246 | 2 146 | 1 947 |
| Limbroug. — Limburg | 17 | 21 | 971 | 968 | 988 | 989 |
| Lucembourg. — Luxemburg | 39 | 35 | 387 | 385 | 426 | 420 |
| Namur. — Namen | 64 | 105 | 710 | 708 | 774 | 813 |
| Brabant flamand. — Vlaams-Brabant | 188 | 141 | 881 | 1 017 | 1 069 | 1 158 |
| Brabant wallon. — Waals-Brabant | 122 | 155 | 466 | 547 | 588 | 702 |
| Bruxelles-Capitale. — Brussel-Hoofdstad | 985 | 938 | 3 770 | 3 825 | 4 755 | 4 763 |
| À l'étranger. — Buitenland | 20 | 19 | 162 | 104 | 182 | 123 |
| Total. — Totaal | 3 652 | 3 667 | 15 443 | 15 911 | 19 095 | 19 578 |
5.1.2. Percentage (*)
| Domicile — Woonplaats | Hôpital — Ziekenhuis | Centre — Centrum | Total — Totaal | Hôpital — Ziekenhuis | Centre — Centrum | Total — Totaal |
| 2010 | 2010 | 2011 | 2011 | |||
| Anvers. — Antwerpen | 1.48 | 98.52 | 100,00 | 1.40 | 98.60 | 100,00 |
| Flandre occidentale. — West-Vlaanderen | 3.45 | 96.55 | 100,00 | 3.31 | 96.69 | 100,00 |
| Flandre orientale. — Oost-Vlaanderen | 8.37 | 91.63 | 100,00 | 9.85 | 90.15 | 100,00 |
| Hainaut. — Henegouwen | 58.36 | 41.64 | 100,00 | 49.64 | 50.36 | 100,00 |
| Liège. — Luik | 28.24 | 71.76 | 100,00 | 36.00 | 64.00 | 100,00 |
| Limbroug. — Limburg | 1.72 | 98.28 | 100,00 | 2.12 | 97.88 | 100,00 |
| Lucembourg. — Luxemburg | 9.15 | 90.85 | 100,00 | 8.33 | 91.67 | 100,00 |
| Namur. — Namen | 8.27 | 91.73 | 100,00 | 12.92 | 87.08 | 100,00 |
| Brabant flamand. — Vlaams-Brabant | 17.59 | 82.41 | 100,00 | 12.18 | 87.82 | 100,00 |
| Brabant wallon. — Waals-Brabant | 20.75 | 79.25 | 100,00 | 22.08 | 77.92 | 100,00 |
| Bruxelles-Capitale. — Brussel-Hoofdstad | 20.72 | 79.28 | 100,00 | 19.69 | 80.31 | 100,00 |
| À l'étranger. — Buitenland | 10.99 | 89.01 | 100,00 | 15.45 | 84.55 | 100,00 |
| Total. — Totaal |
(*) = percentage ten overstaan van het aantal zwangerschapsafbrekingen per provincie.
5.2. Ziekenhuis of centrum, volgens leeftijdscategorieën
5.2.1. Aantal
| Institution — Instelling | 10-14 | 15-19 | 20-24 | |||
| 2010 | 2011 | 2010 | 2011 | 2010 | 2011 | |
| Hôpital. — Ziekenhuis | 10 | 20 | 429 | 411 | 826 | 825 |
| Centre. — Centrum | 86 | 67 | 2 077 | 2 164 | 3 986 | 4 202 |
| Total. — Totaal | 96 | 87 | 2 506 | 2 575 | 4 812 | 5 027 |
| Institution — Instelling | 25-29 | 30-34 | 35-39 | |||
| 2010 | 2011 | 2010 | 2011 | 2010 | 2011 | |
| Hôpital. — Ziekenhuis | 893 | 952 | 759 | 732 | 518 | 532 |
| Centre. — Centrum | 3 622 | 3 736 | 2 892 | 3 013 | 1 972 | 1 922 |
| Total. — Totaal | 4 515 | 4 688 | 3 651 | 3 745 | 2 490 | 2 454 |
| Institution — Instelling | 40-44 | 45-49 | 50-54 | |||
| 2010 | 2011 | 2010 | 2011 | 2010 | 2011 | |
| Hôpital. — Ziekenhuis | 202 | 183 | 15 | 12 | 0 | 0 |
| Centre. — Centrum | 725 | 740 | 82 | 66 | 1 | 0 |
| Total. — Totaal | 927 | 923 | 97 | 78 | 1 | 0 |
PS. : de 55-jarige vrouw die niet voorkomt in deze tabellen (2011), liet de zwangerschapsafbreking uitvoeren in een centrum.
5.2.2. Percentage
| Institution — Instelling | 10-14 | 15-19 | 20-24 | |||
| 2010 | 2011 | 2010 | 2011 | 2010 | 2011 | |
| Hôpital. — Ziekenhuis | 10.42 | 22.99 | 17.12 | 15.96 | 17.17 | 16.41 |
| Centre. — Centrum | 89.58 | 77.01 | 82.88 | 84.04 | 82.83 | 83.59 |
| Total. — Totaal | 100.00 | 100.00 | 100.00 | 100.00 | 100.00 | 100.00 |
| Institution — Instelling | 25-29 | 30-34 | 35-39 | |||
| 2010 | 2011 | 2010 | 2011 | 2010 | 2011 | |
| Hôpital. — Ziekenhuis | 19.78 | 20.31 | 20.79 | 19.55 | 20.80 | 21.68 |
| Centre. — Centrum | 80.22 | 79.69 | 79.21 | 80.45 | 79.20 | 78.32 |
| Total. — Totaal | 100.00 | 100.00 | 100.00 | 100.00 | 100.00 | 100.00 |
| Institution — Instelling | 40-44 | 45-49 | 50-54 | |||
| 2010 | 2011 | 2010 | 2011 | 2010 | 2011 | |
| Hôpital. — Ziekenhuis | 21.79 | 19.83 | 15.46 | 15.38 | 0.00 | 0.00 |
| Centre. — Centrum | 78.21 | 80.17 | 84.54 | 84.62 | 100.00 | 0.00 |
| Total. — Totaal | 100.00 | 100.00 | 100.00 | 100.00 | 100.00 | 100.00 |
5.3. Ziekenhuis of centrum en verwikkelingen
5.3.1. Aantal
| Complication — Verwikkeling | Hôpital — Ziekenhuis | Centre — Centrum | ||
| 2010 | 2011 | 2010 | 2011 | |
| Aucune. — Geen | 3 607 | 3 608 | 15 355 | 15 810 |
| Hémorragie. — Bloedverlies | 20 | 19 | 25 | 32 |
| Perforation. — Perforatie | 1 | 3 | 11 | 11 |
| Déchirure. — Scheur | 4 | 1 | 12 | 11 |
| Autres. — Andere | 20 | 36 | 40 | 47 |
| Total. — Totaal | 3 652 | 3 667 | 15 443 | 15 911 |
5.3.2. %
| Complication — Verwikkeling | Hôpital — Ziekenhuis | Centre — Centrum | ||
| 2010 | 2011 | 2010 | 2011 | |
| Aucune. — Geen | 98.77 | 98.39 | 99.43 | 99.37 |
| Hémorragie. — Bloedverlies | 0.55 | 0.52 | 0.16 | 0.20 |
| Perforation. — Perforatie | 0.03 | 0.08 | 0.07 | 0.07 |
| Déchirure. — Scheur | 0.11 | 0.03 | 0.08 | 0.07 |
| Autres. — Andere | 0.55 | 0.98 | 0.26 | 0.30 |
| Total. — Totaal | 100.00 | 100.00 | 100.00 | 100.00 |
5.4. Ziekenhuis of centrum en opnameduur
5.4.1. Aantal
| Durée d'hospitalisation — Opnameduur | Hôpital — Ziekenhuis | Centre — Centrum | ||
| 2010 | 2011 | 2010 | 2011 | |
| Ambulatoire. — Ambulant | 1 778 | 2 028 | 15 055 | 15 442 |
| 24 heures ou moins. — 24 uur of minder | 1 745 | 1 522 | 383 | 463 |
| Plus de 24 heures. — Meer dan 24 uur | 129 | 117 | 5 | 6 |
| Total. — Totaal | 3 652 | 3 667 | 15 443 | 15 911 |
5.4.2. %
| Durée d'hospitalisation — Opnameduur | Hôpital — Ziekenhuis | Centre — Centrum | ||
| 2010 | 2011 | 2010 | 2011 | |
| Ambulatoire. — Ambulant | 48.69 | 55.30 | 97.49 | 97.05 |
| 24 heures ou moins. — 24 uur of minder | 47.78 | 41.51 | 2.48 | 2.91 |
| Plus de 24 heures. — Meer dan 24 uur | 3.53 | 3.19 | 0.03 | 0.04 |
| Total. — Totaal | 100.00 | 100.00 | 100.00 | 100.00 |
5.5. Ziekenhuis of centrum en methode van zwangerschapsafbreking
5.5.1. Aantal
| Méthode — Methode | Hôpital — Ziekenhuis | Centre — Centrum | ||
| 2010 | 2011 | 2010 | 2011 | |
| Aspiration. — Aspiratie | 1 826 | 1 787 | 12 059 | 12 318 |
| Curetage. — Curettage | 589 | 535 | 535 | 634 |
| Prostaglandine. — Prostaglandine | 73 | 64 | 24 | 15 |
| Mifépristone. — Mifepristone | 1 112 | 1 233 | 2 799 | 2 924 |
| Mifépristone + curetage. — Mifepristone+curettage | 26 | 21 | 26 | 20 |
| Autres. — Andere | 26 | 27 | 0 | 0 |
| Total. — Totaal | 3 652 | 3 667 | 15 443 | 15 911 |
5.5.2. Percentage
| Méthode — Methode | Hôpital — Ziekenhuis | Centre — Centrum | ||
| 2010 | 2011 | 2010 | 2011 | |
| Aspiration. — Aspiratie | 50.00 | 48.73 | 78.09 | 77.42 |
| Curetage. — Curettage | 16.13 | 14.59 | 3.46 | 3.98 |
| Prostaglandine. — Prostaglandine | 2.00 | 1.75 | 0.16 | 0.09 |
| Mifépristone. — Mifepristone | 30.45 | 33.62 | 18.12 | 18.38 |
| Mifépristone + curetage. — Mifepristone+curettage | 0.71 | 0.57 | 0.17 | 0.13 |
| Autres. — Andere | 0.71 | 0.74 | 0.00 | 0.00 |
| Total. — Totaal | 100.00 | 100.00 | 100.00 | 100.00 |
5.6. Ziekenhuis of centrum en verdoving
5.6.1. Aantal
| Anesthésie — Verdoving | Hôpital — Ziekenhuis | Centre — Centrum | ||
| 2010 | 2011 | 2010 | 2011 | |
| Aucune. — Geen | 1 269 | 1 303 | 2 954 | 3 091 |
| Loco-régionale. — Loco-regionaal | 818 | 666 | 12 142 | 12 408 |
| Narcose. — Narcose | 1 555 | 1 686 | 347 | 412 |
| Autres. — Andere | 10 | 12 | 0 | 0 |
| Total. — Totaal | 3 652 | 3 667 | 15 443 | 15 911 |
5.6.2. %
| Anesthésie — Verdoving | Hôpital — Ziekenhuis | Centre — Centrum | ||
| 2010 | 2011 | 2010 | 2011 | |
| Aucune. — Geen | 34.75 | 35.53 | 19.13 | 19.43 |
| Loco-régionale. — Loco-regionaal | 22.40 | 18.16 | 78.62 | 77.98 |
| Narcose. — Narcose | 42.58 | 45.98 | 2.25 | 2.59 |
| Autres. — Andere | 0.27 | 0.33 | 0.00 | 0.00 |
| Total. — Totaal | 100.00 | 100.00 | 100.00 | 100.00 |
5.7. Ziekenhuis of centrum en zwangerschapsafbreking na 12 weken
Aantal
| Après 12 semaines — Na 12 weken | Hôpital — Ziekenhuis | Centre — Centrum | ||
| 2010 | 2011 | 2010 | 2011 | |
| Danger pour la mère. — Gevaar voor de moeder | 4 | 12 | 0 | 0 |
| Danger pour l'enfant. — Gevaar voor het kind | 120 | 95 | 0 | 0 |
| Danger pour la mère + l'enfant. — Gevaar voor moeder + kind | 1 | 2 | 0 | 0 |
| Total. — Totaal | 125 | 109 | 0 | 0 |
| Après 12 semaines — Na 12 weken | Danger pour la mère — Gevaar voor de moeder | Danger pour l'enfant — Gevaar voor het kind | Danger pour la mère + l'enfant — Gevaar voor moeder + kind | |||
| 2010 | 2011 | 2010 | 2011 | 2010 | 2011 | |
| Hôpital. — Ziekenhuis | 4 | 12 | 120 | 95 | 1 | 2 |
| Centre. — Centrum | 0 | 0 | 0 | 0 | 0 | 0 |
| Total. — Totaal | 4 | 12 | 120 | 95 | 1 | 2 |
Bijlage 1
Toelichting bij de sub-rubriek « andere » in het registratiedocument voor een zwangerschapsafbreking
1. « Andere » noodsituaties
Voor het jaar 2010 en 2011 werd de rubriek, « andere » resp. 511 en 406 keer ingevuld.
Zoals blijkt uit de vorige verslagen zijn de meest ingeroepen redenen voor beide jaren nog altijd « niet klaar/geen kinderwens », gevolgd door culturele/religieuze redenen, allerlei problemen in hoofde van de verwekker van het kind en te recente bevalling of kinderen op te jonge leeftijd.
Vervolgens zijn de ingeroepen redenen : andere, gezondheidsproblemen en medicatie, zieke of gehandicapte kinderen en de sociale situatie.
Drugs- en alcoholverslaving en administratieve problemen zijn minder frequent ingeroepen redenen.
| Raisons invoquées — Meest ingeroepen redenen | 2010 | 2011 |
| Pas prête. — Niet klaar/Pas de souhait d'enfant. — Geen kinderwens | 199 | 100 |
| Culture. — Cultuur/Religion. — Religie | 85 | 77 |
| Problèmes liés au géniteur (pas libre, doute sur la paternité, problème de santé, décès, emprisonnement, violence, âge, ... — Problemen in hoofde van de verwekker (verwekker niet vrij, twijfel omtrent het vaderschap, gezondheidsproblemen, overlijden, in de gevangenis, leeftijd, enz.) | 79 | 67 |
| Accouchement(s)s trop récent(s) — enfnt(s) en bas-âge. — Te recente bevallingen, kinderen op jonge leeftijd | 49 | 49 |
| Enfant(s) malad(s) ou handicapé(s). — Zieke of gehandicapte kinderen, enz. | 18 | 19 |
| Situation sociale. — Sociale situatie | 20 | 11 |
| Santé et prise de médicaments. — Gezondheid en medicatie | 27 | 27 |
| Addictions (drogues, alcool, ...). — Drugs — en alcoholverslaving | 9 | 7 |
| Problèmes administratifs. — administratieve problemen | 2 | 12 |
| Divers (décès d'un proche, viol, prostitution, enfant(s) placé(s), reprise d'études, incarcération, ...). — Andere: overlijden van een naaste, verkrachting, prostitutie, geplaatste kinderen, hernemen van studies, vrouw in gevangenis | 23 | 37 |
| Total. — Totaal | 511 | 406 |
| Total global. — Globaal totaal | 917 | |
2. « Andere » anticonceptiemethoden
De rubriek « andere » wordt gebruikt wanneer de arts meer dan één gegeven invult.
Worden als « andere » anticonceptiemethoden opgegeven : subfertiliteit, vaginale ovule, natuurlijke methode : cervixslijm, man met vasectomie, vaginale douche, menopauze, borstvoeding (+cerazette), kalendermethode, progestatief, clips.
3. « Andere » methoden van zwangerschapsafbreking
Na eliminatie van de gevallen die onder een specifieke, op het registratieformulier voorziene, rubriek kunnen staan zijn er volgende vermeldingen :
— mifepristone + misoprostol (cytotec);
— mifepristone + prostaglandine;
— cytotec;
— cytotec + inductie;
— foeticide + cytotec;
— prostaglandine + curettage.
4. « Andere » methoden van verdoving
In deze rubriek werden als « andere » ingevuld : epidurale, rachianesthesie, algemene anesthesie, PCB, pijnpomp morfine, CLEA.
5. « Andere » verwikkelingen
« Andere » verwikkelingen zijn onder meer : placentaretentie, retentie en infectie, vagale reactie, vagale syncope, pyrexie post RU, psychologisch lijden, mislukken medicamenteuze methode, mislukken aspiratie, dilatatie onmogelijk of onvoldoende, desaturatie, crisis tachycardie syncope, cervixstenose, perforatie, malaise, hyperthermie, embryo onbereikbaar voor sonde, pijn, manuele verlossing, 2e vruchtverwijdering.
Bijlage 2
Zwangerschapsafbrekingen na een periode van twaalf weken
Het statistisch verslag behandelt dit gegeven in deel twee van het verslag (« Gekruiste tabellen »).
Overeenkomstig artikel 350, 4º van het Strafwetboek kan na de termijn van twaalf weken de zwangerschap onder de voorwaarden bepaald bij artikel 350, 1º, b), 2º en 3º van hetzelfde wetboek slechts worden afgebroken, indien het voltooien van de zwangerschap een ernstig gevaar inhoudt voor de gezondheid van de vrouw of indien vaststaat dat het kind dat geboren zal worden zal lijden aan een uiterst zware kwaal die als ongeneeslijk wordt erkend op het ogenblik van de diagnose.
In 2010 werd ons de uitvoering na de termijn van 12 weken meegedeeld van 4 zwangerschapsafbrekingen omwille van ernstig gevaar voor de gezondheid van de vrouw, 120 omwille van de uiterst zware kwaal voor het kind en 1 geval waarbij zowel moeder als kind gevaar liepen.
In 2011 werd ons de uitvoering na de termijn van 12 weken meegedeeld van 12 zwangerschappen afgebroken omwille van ernstig gevaar voor de gezondheid van de vrouw, 95 omwille van de uiterst zware kwaal voor het kind en 2 gevallen waarbij zowel moeder als kind gevaar liepen.
Bij onderzoek van de registratiedocumenten, blijkt dat als uiterst zware ongeneeslijke kwaal waaraan het kind zou lijden indien het geboren wordt, volgende elementen worden opgegeven :
1. Ernstig gevaar voor de vrouw
— Hartziekte — aanwezigheid van een mechanische klep;
— Bloedarmoede;
— Ziekte van Hodgkin — borstkanker;
— Chorioamnionitis;
— Ernstige neurologische aandoening;
— Ernstige zwangerschapsvergiftiging.
2. Ernstige of ongeneeslijke aandoeningen bij het kind
2.1. Chromosomale aandoeningen
— Zware chromosomale afwijkingen en monosomie;
— Chromosomale hersenanomalie;
— Mozaïcisme;
— Deletie 22Q11 syndroom;
— Di George syndroom;
— Klinefeltersyndroom XXY;
— Turnersyndroom (groot hygroma colli);
— Triploïdie 69 XYY;
— Trisomie 13 (syndroom van Patau);
— Trisomie 15 (syndroom van Prader-Willi);
— Trisomie 18 (syndroom van Edwards);
— Trisomie 21 (syndroom van Down).
2.2. Afwijkingen
2.2.1. Hart en longen
— Longaplasie;
— Pulmonalis atresie (MAPCA);
— Letale cardiomyopathie;
— Hypoplastisch linker hartsyndroom;
— Tweeling zonder hart;
— Zware hartafwijking;
— Zware hartafwijking en uitgebreid buikwanddefect;
— Mucoviscidose.
2.2.2. Ziekten van het skelet
— Afwezigheid van ruggegraat en lage rug, mismaakte onderste ledematen;
— Achondroplasie;
— Skeletdysplasie;
— Nanisme, zeer ernstige afwijkingen van de ledematen;
— Thanatofore dwerg;
— Pfeiffer syndroom;
— Treacher Collins syndroom.
2.2.3. Nierziekten
— 1 nier ontbreekt en andere heeft multikystische tumor;
— Bilaterale renale agenesie;
— Bilaterale nierdysplasie;
— Hydronefrose;
— Bilaterale polikystische nieren anurie;
— Syndroom van Potter;
— Megablaas.
2.2.4. Ziekten van het centrale zenuwstelsel
— Spina bifida (acromion).
2.2.5. Ziekten van de schedel en de hersenen
— Acranie;
— Anencefalie;
— Encefalocoele;
— Exencefalie;
— Holoprosencefalie;
— Zware hydrocefalie;
— Foetale hersenafwijking;
— Microcefalie;
— Dandy Walker syndroom.
2.2.6. Diverse aandoeningen
— Anamnios;
— Anamnios door gebroken vliezen;
— Ftale anasarc+ polymalformatief syndroom;
— Anhydramnios;
— Volledige agenesie linkerarm;
— Depranocytose foetus SS;
— Exencefalie, myelocoele, omfalocoele;
— Mola-zwangerschap;
— Hernia diafragmatica;
— Holoprosencefalie + polydactylie;
— Hydronefrose + anhydramnion;
— Hydrops foetalis;
— Extreme foetale hydrops + anamnion;
— Hygroma colli;
— Bilaterale longhypoplasie+bilaterale nierhypoplasie (Potter);
— Laparoschisis;
— Limb-body wall complex (LBWC);
— Ziekte van Duchêne;
— Ziekte van Leigh;
— Ziekte van Steinert;
— Ernstige skeletafwijking met ernstige longhypoplasie;
— Myelocystocoele + encefalocoele;
— Omfalocoele (lever, darmen, maag);
— Pentalogie van Cantrell;
— Polydactylie;
— Veelvuldige afwijkingen;
— Spontane PPROM + trisomie 15;
— PPROM op 17 weken;
— Hypoplastisch linkerhart + bilaterale hydronefrose+groeiretardatie;
— Ernstige groeivertraging, gebrekkige placenta;
— Spina bifida + hydrocefalie;
— Aqueductus stenose;
— Meckel-Gruber syndroom;
— Turnersyndroom + letale vorm met hartafwijking + hydrops;
— Polymalformatief syndroom + hygroma colli + ventrikelseptumdefect + — Hydronefrose.
2.3. Teratogene aandoeningen
— Cytomegalovirus infectie.
2. JAARVERSLAGEN VAN DE INSTELLINGEN VOOR GEZONDHEIDSZORG
Inleiding
De hiernavolgende tabellen maken, per referentiejaar, het totaal op van de cijfergegevens die de centra en ziekenhuizen in hun jaarlijks verslag hebben verwerkt. Deze cijfers stemmen zelden overeen met de cijfers die op de registratiedocumenten worden vermeld.
Elke instelling dient de volgende gegevens in het jaarlijks rapport op te nemen :
— aantal verzoeken tot zwangerschapsafbreking dat bij de instelling of bij artsen, verbonden aan de instelling, werd ingediend;
— aantal zwangerschapsafbrekingen uitgevoerd door de artsen verbonden aan de instelling vóór het einde van de twaalfde week na de bevruchting;
— aantal zwangerschapsafbrekingen na de termijn van 12 weken;
— aantal verzoeken tot zwangerschapsafbreking dat door de artsen verbonden aan de instelling werd afgewezen.
De rubriek « aantal afgewezen verzoeken tot zwangerschapsafbreking » roept twee opmerkingen op en dit gelet op het feit dat de termen « afwijzing » of « weigering » op verschillende manieren kunnen worden geïnterpreteerd.
1. De door de instellingen afgewezen verzoeken tot zwangerschapsafbreking moeten worden gemeld, doch het is mogelijk dat de zwangerschapsafbreking plaats vindt in een andere instelling dan die waar men zijn verzoek oorspronkelijk heeft gedaan. Sensu stricto is er dan geen weigering geweest.
2. Onder de term « afwijzing » of « weigering » kan men eveneens de volgende redenen (niet exhaustief) verstaan :
— de vrouw komt niet naar de afspraak;
— aanvraag waarvan het vervolg niet gekend is;
— de vrouw is niet zwanger op het moment van de aanvraag;
— miskraam tijdens de wachtperiode;
— de zwangerschap heeft de termijn van twaalf weken overschreden, en de vrouw wordt naar het buitenland doorverwezen;
— de zwangerschap is te ver gevorderd bij de eerste consultatie, of er is een overschrijding van 14 weken amenorroe na de 6 dagen wachttijd;
— de vrouw is doorverwezen naar een Belgisch ziekenhuis omwille van medische redenen of narcose;
— de vrouw is doorverwezen naar een ander centrum in België;
— de vrouw beslist de zwangerschap te voltooien;
— de vrouw is doorverwezen naar een adoptiedienst.
2.1. Franstalige instellingen
2.1.1. Franstalige centra
| Nombre de centres — Aantal centra | Nombre de requêtes — Aantal verzoeken | Nombre d'IVG pratiquées — Aantal uitgevoerd zwangerschapsafbrekingen | Nombre de requêtes « rejetées » — Aantal « afgewezen verzoeken » | % de requêtes « rejetées » par rapport au nombre de requêtes — % « afgewezen» verzoeken ten overstaan van aantal verzoeken | |||||
| 2010 | 2011 | 2010 | 2011 | 2010 | 2011 | 2010 | 2011 | 2010 | 2011 |
| 27 | 29 | 10 096 | 11 163 | 8 374 | 9 279 (*) | 1 694 | 1 864 | 16,78 | 16,70 |
(*) In 2011 heeft één centrum 6 zwangerschapsafbrekingen na 12 weken uitgevoerd, op een totaal van 350 zwangerschapsafbrekingen.
2.1.2. Franstalige ziekenhuizen
| Nombre d'hôpitaux — Aantal ziekenhuizen | Nombre de requêtes — Aantal verzoeken | Nombre d'IVG pratiquées dont le nombre d'IVG pratiquées après le délai de 12 semaines — Aantal uitgevoerde zwangerschapsafbrekingen waarvan na 12 weken | Nombre de requêtes « rejetées » — Aantal « afgewezen» verzoeken | % de requêtes « rejetées »/ Nombre de requêtes — % « afgewezen» verzoeken ten overstaan van aantal verzoeken | |||||||
| 2010 | 2011 | 2010 | 2011 | 2010 | 2011 | 2010 | 2011 | 2010 | 2011 | 2010 | 2011 |
| 27 | 26 | 3 777 | 3 891 | 3 258 | 3 399 | 110 | 103 | 466 | 482 | 12,34 | 12,39 |
2.2. Nederlandstalige instellingen
2.2.1. Nederlandstalige centra
| Nombre de centres — Aantal centra | Nombre de requêtes — Aantal verzoeken | Nombre d'IVG pratiquées — Aantal uitgevoerde zwangerschapsafbrekingen | Nombre de requêtes « rejetées » — Aantal « afgewezen » verzoeken | % de requêtes « rejetées » par rapport au nombre de requêtes — % « afgewezen» verzoeken ten overstaan van aantal verzoeken | |||||
| 2010 | 2011 | 2010 | 2011 | 2010 | 2011 | 2010 | 2011 | 2010 | 2011 |
| 7 | 7 | 8 468 | 9 018 | 7 472 | 7 662 | 996 | 1 353 | 11,76 | 15,00 |
2.2.2. Nederlandstalige ziekenhuizen
| Nombre d'hôpitaux — Aantal ziekenhuizen | Nombre de requêtes — Aantal verzoeken | Nombre d'IVG pratiquées dont nombre d'interruptions pratiquées après le délai de 12 semaines — Aantal uitgevoerde zwangerschapsafbrekingen waarvan na 12 weken | Nombre de requêtes « rejetées » — Aantal «afgewezen» verzoeken | % de requêtes « rejetées »/nombre de requêtes — % « afgewezen » verzoeken ten overstaan van aantal verzoeken | |||||||
| 2010 | 2011 | 2010 | 2011 | 2010 | 2011 | 2010 | 2011 | 2010 | 2011 | 2010 | 2011 |
| 11 | 11 | 423 | 456 | 366 | 354 | 52 | 47 | 57 | 102 | 13,47 | 22,37 |
2.3. Overzicht
2.3.1. Centra
| Nombre de centres — Aantal centra | Nombre d'IVG pratiquées — Aantal uitgevoerde zwangerschapsafbrekingen | ||
| 2010 | 2011 | 2010 | 2011 |
| 34 | 36 | 15 846 | 16 941 |
2.3.2. Ziekenhuizen
| Nombre d'hôpitaux — Ziekenhuizen | Nombre d'IVG pratiquées — Aantal uitgev zwangerschapsafbrek. | Dont après délai de 12 semaines — Waarvan na 12 weken | |||
| 2010 | 2011 | 2010 | 2011 | 2010 | 2011 |
| 38 | 37 | 3 624 | 3 753 | 162 | 156 |
3. ANALYSE VAN DE JAARVERSLAGEN VAN DE FRANSTALUIGE VOORLICHTINGSDIENSTEN
Dit hoofdstuk is onderverdeeld in twee subhoofdstukken. Het eerste gaat over de gegevens die werden overgemaakt door de Nederlandstalige instellingen en het tweede over de gegevens van de Franstalige instellingen.
3.1. Franstalige instellingen
A. Centra
De hierna opgenomen gegevens zijn afkomstig van de verslagen die aangeleverd zijn door 27 centra (van 30) in 2010 en 29 centra (van 30) in 2011.
A.1. Aantal personen die in de voorlichtingsdienst werken en hun kwalificatie
De dienst telt gemiddeld 15 personen (min. 6 en max. 34) en bestaat uit een variabel aantal juristen, psychologen, maatschappelijk werk(st)ers en artsen, plus het personeel voor administratie en coördinatie, dat soms ook belast is met voorlichting in scholen. Sommige diensten hebben ook een huwelijksconsulent of, minder frequent, een sociaal verpleegkundige, een gezinsbemiddelaar/-therapeut, een licentiaat gezinswetenschappen en seksualiteit of een seksuoloog.
A.2. Werking van de dienst
Doorgaans is deze dienst tijdens de week bereikbaar van 9u tot 19u, en soms een vaste dag tot 20u, en op zaterdag van 9u30 tot 12u30. De opvang kan tijdens de spreekuren plaatsvinden, maar er zijn vaste uren voorzien voor sociale, psychologische en juridische gesprekken, medische consultaties en zwangerschapsafbrekingen, evenals familiale bemiddeling.
De medische gegevens worden door de arts beheerd via het medisch dossier; de psychosociale en administratieve gegevens worden vermeld in het registratiedossier dat de opvangmedewerk(st)er opstelt. De arts stelt een liaisonfiche op die bestemd is voor de behandelende arts. Het handvest en de protocollen van de GACEHPA (Groupe d'action des centres extra-hospitaliers pratiquant l'avortement) worden toegepast.
In scholen staat de maatschappelijk werk(st)er, of de coördinatrice, in voor opleidingen gericht op emoties, relaties en seksualiteit en op seksueel overdraagbare aandoeningen.
Opmerking : twee centra hebben aangegeven dat zij op zoek zijn naar artsen, hetzij om artsen te vervangen die de dienst verlaten hebben, hetzij om een aantal openstaande uren in te vullen (maandag), hetzij om te voldoen aan de gestegen vraag naar zwangerschapsafbrekingen.
A.3. Totaal aantal consultaties van de dienst, naar aanleiding van problemen veroorzaakt door een zwangerschapsafbreking
Gemiddeld 1 083 in 2010 (min. 129 en max. 4 269) en 1 237 in 2011 (min. 110 en max. 5 293).
A.4. Methoden van opvang en begeleiding vóór, tijdens en na de zwangerschapsafbreking
De vrouw wordt opgevangen door een maatschappelijk werk(st)er of een psycholo(o)g(e), de zogenaamde opvangmedewerk(st)er. Die begeleidt de vrouw tijdens het hele proces : vóór, tijdens en na de zwangerschapsafbreking indien die plaatsvindt.
— Vóór de afbreking : de opvangmedewerkster voert een psychosociaal gesprek om de vrouw haar verzoek te helpen verduidelijken, dieper in te gaan op de context (sociaaleconomische en administratieve situatie, relationeel klimaat, partnergeweld, invloed van culturele en/of religieuze gebeurtenissen, ...) en haar de mogelijke alternatieven voor te stellen, met name de zwangerschap voortzetten om het kind te behouden of het kind ter adoptie afstaan. Er worden meerdere gesprekken gepland als het verzoek ambivalent blijkt te zijn.
Informatie over mogelijke financiële, sociale en juridische bijstand en rechten wordt verstrekt door de opvangmedewerk(st)er of de jurist. Deze regulariseert zo nodig de sociale zekerheidsdossiers, zet stappen bij het OCMW, gaat op zoek naar een opvangtehuis of zorgt voor bemiddeling met de ouders. In geval van een ernstig probleem kan de vrouw doorverwezen worden naar een gespecialiseerde psychologische of juridische dienst.
De arts gaat over tot de anamnese en geeft informatie over de methoden voor zwangerschapsafbreking en hun wettelijk kader. Er wordt gesproken over de toekomstige anticonceptie om herhaalde abortus te voorkomen. Er is intervisie tussen de arts en de opvangmedewerk(st)er. Tijdens de verplichte wettelijke termijn van zes dagen tussen het gesprek met de arts en de zwangerschapsafbreking mag de vrouw opnieuw langsgaan bij de opvangmedewerk(st)er en/of de arts.
— Tijdens de afbreking : de afbreking wordt uitgevoerd door de arts, in aanwezigheid van de opvangmedewerk(st)er. Er wordt gezorgd voor psychologische bijstand zodat de vrouw, indien zij dat wenst, uiting kan geven aan haar lijden en/of schuldgevoel. De toekomstige anticonceptie wordt voorbereid.
— Na de afbreking : na twee of drie weken voert de arts een medische controle uit, gaat hij na of de anticonceptie correct wordt toegepast en sensibiliseert hij de vrouw voor intieme hygiëne en infectierisico's. De opvangmedewerk(st)er heeft een gesprek met de vrouw zodat die laatste kan vertellen wat zij na de zwangerschapsafbreking ervaart. De vrouw kan gehoord worden door de psycholoog en eventueel doorverwezen worden naar een gespecialiseerde sociale of juridische dienst.
A.5. Specifieke gevallen van opvang en begeleiding waarop dient gewezen te worden
De centra wijzen erop dat de situaties steeds complexer worden :
— de echtelijke en familiale structuren worden brozer : echtscheiding, nieuw samengesteld gezin of eenoudergezin, onstabiele relaties, relationele eenzaamheid;
— de druk van familie (de clan primeert op het individu), religie en/of cultuur weegt op heel wat vrouwen, waarvan de meeste van buitenlandse afkomst zijn, wat hun begeleiding bemoeilijkt;
— de centra in Brussel ontvangen heel wat vrouwen van buitenlandse afkomst die soms maar een zeer geringe kennis hebben van een van de landstalen. De opvang van die vrouwen blijkt dan ook moeilijker te zijn;
— het psychische en emotionele evenwicht is soms verstoord : sommige vrouwen zijn niet in staat om een beslissing te nemen of schatten de gevolgen ervan niet (correct) in;
— de sociale en/of financiële onzekerheid breidt zich uit : sommige vrouwen kunnen het vervoer naar/vanuit het centrum niet betalen, terwijl 30 % van de opgevangen vrouwen geen sociale zekerheid meer ontvangt en geen recht heeft op terugbetaling. Een minderheid van deze vrouwen doet een beroep op de dringende geneeskundige hulpverlening. Één centrum heeft een psychologe aangeworven die zich speciaal toelegt op het contact met de meest kwetsbare bevolking van de gemeente om zo de doelstellingen van het centrum duidelijk te maken, een stand van zaken op te maken van de noden van de gemeente en een samenwerkingsverband op te starten met de plaatselijke sociale diensten;
— sommige centra wijzen op gevallen van fysieke en/of psychologische complicaties waarbij het noodzakelijk blijkt om de vrouw over te brengen naar de spoedopname van een ziekenhuis, hetgeen leidt tot situaties die voor het team moeilijk zijn om mee om te gaan; het team moet ook omgaan met pijn in het kader van een medicamenteuze zwangerschapsafbreking;
— de centra ontvangen steeds meer vrouwen die geen anticonceptie gebruiken, hetzij omwille van de kostprijs, hetzij omdat zij een verkeerde overtuiging hebben (ik ga niet zwanger worden);
— de centra benadrukken dat 1/3 van hun patiënten herhaalde abortus ondergaat, waardoor het noodzakelijk is om niet alleen een puur informatieve aanpak betreffende anticonceptie te hanteren, maar ook om de tegenkanting van de vrouw om te praten over de soms onbewuste aspecten die aan de basis liggen van haar manier van handelen (relationele elementen, leeftijd, vruchtbaarheid, vroegere gezinservaringen, ...) tegen te gaan.
Bovendien maken sommige centra zich zorgen over het stijgende aantal afspraken die zonder gevolg blijven : vrouwen nemen met verschillende centra contact op en gaan dan naar het centrum dat hen het snelst kan ontvangen zonder de andere afspraken die zij hebben vastgelegd, af te zeggen. Ze doen dit om te vermijden dat de wachttijd vóór de eerste afspraak, plus de wettelijk verplichte termijn tussen die afspraak en de afbreking, 12 weken bereikt (een wachttijd van 10 dagen vóór de eerste afspraak is niet uitzonderlijk). Sommige vrouwen van buitenlandse afkomst gaan terug naar hun land van oorsprong om dat probleem ook uit de weg te gaan.
Deze centra vragen zich af of het wel opportuun is om de wettelijke termijn van zes dagen tussen de eerste afspraak en de zwangerschapsafbreking te behouden.
A.6. Voorstellen ter verbetering van de preventie van ongewenste zwangerschappen
De centra brengen de volgende mogelijke pistes naar voren :
— zorgen voor gratis anticonceptiemiddelen ongeacht de leeftijd van de vrouw, of op zijn minst zorgen voor een echte coherentie tussen de huidige prijzen onderling : een zwangerschapsafbreking kost een vrouw minder dan anticonceptie;
— gratis verstrekken van de morning-afterpil en van pillenstrips en voorbehoedmiddelen;
— artsen sensibiliseren voor het gebruik van implantaten, spiraaltjes, ..., in plaats van de pil;
— de informatieverstrekking omtrent relaties, gevoelens en seksualiteit verbeteren en dubbele preventie promoten (voorbehoedmiddelen + anticonceptiemiddelen) door zich te richten op scholen en studenten (met inbegrip van instellingen voor jongvolwassenen met een fysieke en/of mentale handicap), gezondheids-bevorderende instellingen (medische huizen, ...) en discussieplaatsen (verenigingen, vrouwenhuizen, praatgroepen, ...);
— informatieve spots op radio en televisie uitzenden en op belangrijke websites zorgen voor promotie omtrent seksualiteit, relaties en gevoelsleven;
— de opleiding van gezondheidswerkers (arts, verpleegkundige, maatschappelijk werker, psycholoog) maar ook van huwelijksconsulenten en animatoren van praatgroepen, verbeteren;
— vrouwen beter begeleiden om de voortzetting van de zwangerschap te bevorderen in een goede sociale, economische en psychologische omgeving;
— de psychologische opvolging systematiseren om herhaalde afbrekingen te voorkomen;
mannen sensibiliseren voor de anticonceptie van de partners en voor mannelijke anticonceptiemiddelen.
B. Ziekenhuizen
De hierna opgenomen gegevens zijn afkomstig van de verslagen die aangeleverd zijn door 27 ziekenhuizen (van 31) in 2010 en 26 ziekenhuizen (van 31) in 2011.
B.1. Aantal personen die in de voorlichtingsdienst werken en hun kwalificatie
De dienst telt gemiddeld 5 of 6 personen en bestaat uit een variabel aantal juristen, psychologen en maatschappelijk werkers of sociaal verpleegkundigen indien de dienst geen beroep doet op de sociale dienst van het ziekenhuis. Soms is er een huwelijksconsulent, een seksuoloog of een intercultureel bemiddelaar, wiens aanwezigheid vooral noodzakelijk is in de Brusselse ziekenhuizen omwille van de verschillende landen van oorsprong van de patiënten. De artsen, verpleegkundigen en technici die tussenkomen in de daghospitalisatie, zijn afkomstig uit de dienst gynaecologie/verloskunde.
Bepaalde ziekenhuizen voeren alleen zwangerschapsafbrekingen uit om medische redenen. De verzoeken die gelinkt zijn aan persoonlijke redenen worden doorverwezen naar andere ziekenhuizen of centra; daartoe hebben sommige ziekenhuizen samenwerkingsakkoorden afgesloten met één of meerdere centra gelegen in dezelfde geografische zone.
Deze ziekenhuizen beschikken dus niet over een voorlichtingsdienst als dusdanig maar eerder over een multidisciplinaire cel, soms « crisiscel » genoemd en samengesteld uit een psycholoog, maatschappelijk assistent, pediater en gynaecoloog. De zwangerschapsafbrekingen omwille van medische redenen worden goedgekeurd door het Ethisch Comité van de instelling.
B.2. Werking van de dienst
De dienst is doorgaans open van 7u30 tot 13u en van 14u tot 18u. Er zijn vaste uren voorzien voor afspraken.
Het dossier van de patiënte bevat de medische, psychologische en sociale anamnese alsook de administratieve gegevens.
B.3. Totaal aantal consultaties van de dienst, naar aanleiding van problemen veroorzaakt door een zwangerschapsafbreking
Gemiddeld 309 in 2010 (min. 5 en max. 2 130) en 320 in 2011 (min. 7 en max. 2 463).
B.4. Methoden van opvang en begeleiding vóór, tijdens en na de zwangerschapsafbreking
De vrouw wordt opgevangen door een maatschappelijk werk(st)er of een sociaal verpleegkundige, de zogenaamde opvangmedewerk(st)er. Die begeleidt de vrouw tijdens het hele proces : vóór, tijdens en na de zwangerschapsafbreking indien die plaatsvindt.
— Vóór de afbreking : de opvangmedewerk(st)er en de psycholoog voeren een psychosociaal gesprek om de vrouw haar verzoek te helpen verduidelijken, dieper in te gaan op de context (sociaaleconomische situatie, relationeel klimaat, invloed van culturele en/of religieuze gebeurtenissen, familiale druk, ...) en haar de mogelijke alternatieven voor te stellen, met name de zwangerschap voortzetten om het kind te behouden of het kind ter adoptie afstaan.
Er wordt informatie verstrekt over de mogelijke financiële, sociale en juridische bijstand en de rechten. De opvangmedewerk(st)er regulariseert zo nodig de sociale zekerheidsdossiers, zet stappen bij het OCMW, gaat op zoek naar een opvangtehuis, zorgt voor bemiddeling met de ouders en/of kan de vrouw in geval van een ernstig probleem doorverwijzen naar een gespecialiseerde psychologische of juridische dienst.
De arts gaat over tot de anamnese en geeft informatie over de methoden voor zwangerschapsafbreking en hun wettelijk kader. Er wordt gesproken over de toekomstige anticonceptie om herhaalde abortus te voorkomen. Er is intervisie tussen de arts en de opvangmedewerk(st)er. Tijdens de verplichte wettelijke termijn van zes dagen tussen het gesprek met de arts en de zwangerschapsafbreking mag de vrouw opnieuw langsgaan bij de opvangmedewerk(st)er en/of de arts.
— Tijdens de afbreking : de afbreking wordt uitgevoerd door de arts, in aanwezigheid van de opvangmedewerk(st)er. Er wordt gezorgd voor psychologische bijstand zodat de vrouw, indien zij dat wenst, uiting kan geven aan haar lijden en/of schuldgevoel. De toekomstige anticonceptie wordt voorbereid.
— Na de afbreking : na twee of drie weken voert de arts een medische controle uit, gaat hij na of de anticonceptie correct wordt toegepast en sensibiliseert hij de vrouw voor intieme hygiëne en infectierisico's. De opvangmedewerk(st)er heeft een gesprek met de vrouw zodat die laatste kan vertellen wat zij na de zwangerschapsafbreking ervaart. De vrouw kan gehoord worden door de psycholoog en eventueel doorverwezen worden naar een gespecialiseerde sociale of juridische dienst.
B.5. Specifieke gevallen van opvang of begeleiding waarop dient gewezen te worden
De ziekenhuizen wijzen erop dat steeds meer verzoeken tot zwangerschapsafbreking afkomstig zijn van politiek vluchtelingen of van vrouwen die een uitkering van het OCMW ontvangen.
Eén ziekenhuis zou graag werk maken van zwangerschapsafbrekingen thuis, onder specifieke voorwaarden en met een aangepaste opvang. Dit ziekenhuis wijst er ook op dat de protocollen voor medicamenteuze zwangerschapsafbreking evolueren en dat de referentietermijnen dus versoepeld kunnen worden zonder dat dit een weerslag heeft op de doeltreffendheid van de methode.
Volgens dit ziekenhuis zouden die twee elementen het mogelijk moeten maken om de behandeling van vrouwen te verlichten en te beantwoorden aan de stijgende vraag naar zwangerschapsafbrekingen.
B.6. Voorstellen ter verbetering van de preventie van ongewenste zwangerschappen
De ziekenhuizen geven de voorkeur aan de volgende elementen :
— zorgen voor gratis anticonceptiemiddelen voor vrouwen, ongeacht hun leeftijd, of minstens tegen een redelijke prijs (onder andere de pil, IUD, condoom en morning-afterpil);
— de informatieverstrekking over anticonceptiemiddelen en het gebruik ervan verbeteren (effecten van verkeerd gebruik (1) , ...);
— dubbele preventie promoten (voorbehoedmiddelen + anticonceptiemiddelen);
zorgen voor de verdeling van stalen van pillen, spiraaltjes, ...;
— informatie over relaties, emoties en seksualiteit verplicht opnemen in het leerplan van de middelbare school (waarbij die informatie verstrekt wordt door professionele mensen) en de preventie verhogen bij studenten en in gezondheidsbevorderende instellingen (medische huizen, ...) en discussieplaatsen (verenigingen, vrouwenhuizen, praatgroepen, ...);
— vrouwen op rijpere leeftijd sensibiliseren voor anticonceptie en informatie-overdracht naar hun dochters en/of kleindochters;
— op radio en televisie en in bioscopen informatieve spots omtrent preventie laten zien en op belangrijke websites zorgen voor promotie omtrent seksualiteit, relaties en gevoelsleven;
— de opleiding van gezondheidswerkers (arts, verpleegkundige, maatschappelijk werker, psycholoog) maar ook van huwelijksconsulenten en animatoren van praatgroepen, ..., verbeteren;
— huisartsen en farmaceutische bedrijven sensibiliseren voor de risico's op wisselwerkingen tussen bepaalde behandelingen en orale anticonceptie;
— vrouwen sensibiliseren voor de invloed van de darmtransit op de doeltreffendheid van de anticonceptiepil, via informatieverspreiding bij gynaecologen en huisartsen;
— vrouwen beter begeleiden om de voortzetting van de zwangerschap te bevorderen in een gunstige sociale, economische en psychologische omgeving;
— de psychologische opvolging van de vrouw systematiseren om herhaalde afbrekingen te voorkomen;
— mannen sensibiliseren voor de anticonceptie van de partners en voor mannelijke anticonceptiemiddelen.
Opmerking :
Sommige instellingen die enkel zwangerschapsafbrekingen uitvoeren om ernstige medische redenen in verband met de moeder en/of het kind, zouden willen dat op de officiële documenten die verstrekt worden door de Evaluatiecommissie (registratieformulier en jaarverslagen van de voorlichtingsdienst en van de instelling) de benaming « Vrijwillige zwangerschapsafbreking » vervangen wordt door « Therapeutische zwangerschapsafbreking ».
Door de twee soorten zwangerschapsafbreking op de documenten te vermelden, zou men het aantal door artsen gemelde zwangerschapsafbrekingen kunnen verhogen want dan kunnen de artsen niet meer aanvoeren dat zij niet weten dat alle zwangerschapsafbrekingen (of die nu medisch dan wel vrijwillig zijn) aan de Commissie meegedeeld moeten worden.
3.2. Nederlandstalige instellingen
A. Centra
A.1. Samenstelling en werking van de dienst
Het personeelsbestand van de voorlichtingsdiensten bestaat uit een basisteam : gynaecologen, artsen, (sociaal) verpleegkundigen aangevuld met een multidisciplinair team van psychologen, maatschappelijk assistenten, licentiaten sociale en seksuologische wetenschappen, coördinator, administratieve en logistieke medewerkers. Een grootstedelijk centrum kan beroep doen op tolken van het OCMW en de Vereniging voor Ambulante Geestelijke Gezondheidszorg.
Vijf Centra maken deel uit van de Unie van Nederlandstalige abortuscentra, de VZW LUNA met maatschappelijke zetel : Lange Gasthuisstraat, 45 te 3200 Antwerpen. Het CEVO-Centrum voor verantwoord ouderschap- Henri Jasparlaan, 102 te 1060 Brussel is niet meer actief sinds midden 2010.
De werking van de dienst is voor alle centra gelijkaardig aan die van voorgaande jaren. Qua registratiemethoden hebben de elektronische dossiers nu integraal de papieren dossiers vervangen. De centra beschikken over infofolders over anticonceptie en voorbehoedmiddelen in verschillende talen; sommige maken gebruik van printbare informatie van andere instellingen, zoals Sensoa, voor minder frequent voorkomende talen. Één centrum heeft zijn documentatie over de abortushulpverlening in Nederland grondig geactualiseerd.
LUNA, koepel van Nederlandstalige abortuscentra werkte mee aan twee onderzoeken naar beleving van het counselinggesprek door studenten van de vakgroep Psychologie van de UGent.
A.2. Toegepaste opvang- en hulpmethoden
Vrouwen nemen rechtstreeks contact op met de centra na bijvoorbeeld opzoeking via het internet of worden doorverwezen door gynaecoloog, huisarts en welzijns- of gezondheidscentra.
— Voor de zwangerschapsafbreking : het intakegesprek gaat door met een (sociaal)verpleegkundige of psycholoog of medewerker met gelijkwaardige kwalificatie en heeft een open en niet-overtuigend karakter.
De noodsituatie van de vrouw wordt besproken, de alternatieven voor abortus, de opvangmogelijkheden wanneer de vrouw beslist de zwangerschap uit te dragen, komen aan bod.
Wanneer de keuze voor abortus definitief is wordt de beleving er van en de mogelijke gevolgen besproken. In overleg met de arts wordt de behandeling, zuigcurettage of abortuspil, bepaald. Dit vooronderzoek is een belangrijk preventief moment met betrekking tot het vermijden van toekomstige ongewenste zwangerschappen. Men geeft uitleg over het verloop van de ingreep en de eventuele risico's. De na-begeleiding en de mogelijkheden tot doorverwijzing naar een Centrum voor Geestelijke Gezondheidszorg en de toekomstige anticonceptie worden besproken.
— Tijdens de zwangerschapsafbreking : de behandeling met de abortuspil of de zuigcurettage onder algemene verdoving vindt ten vroegste plaats na de verplichte wachttijd van 6 dagen.
— Na de zwangerschapsafbreking : de behandelende arts doet een na-controle en bij die gelegenheid komt nogmaals het anticonceptiegebruik ter sprake.
Een centrum signaleert dat bij voorkeur dezelfde begeleider en dezelfde arts de vrouw gedurende het hele abortusproces volgt.
A.3. Gevallen van opvang en hulp waarop dient gewezen te worden
De centra maken met betrekking tot allochtone vrouwen, illegale vrouwen en asielzoeksters gelijkaardige opmerkingen als opgenomen in het vorig Verslag. Men wijst op de gebrekkige kennis van anticonceptie bij deze vrouwen en op het feit dat zij abortus als een vorm van anticonceptie zien.
Bij moslimvrouwen wordt religie dikwijls als enige noodsituatie ingeroepen. Minderjarigen die opgroeien in gezinnen waar geen openheid is over seksualiteit ondervinden zware psychische last.
Een centrum noteert -cf. Verslag 2008-2009-. « Ondanks alle inspanningen en voorlichting op het gebied van anticonceptie blijkt nog steeds dat bijna 2 vrouwen op 5 die een abortus laten uitvoeren dat niet voor de eerste keer doen, vaak met een tussenpauze van slechts een aantal maanden. Het is zeer demotiverend voor onze sociaal verpleegkundigen om steeds weer dezelfde vrouwen te moeten zien. Wij hebben al aan een aantal vrouwen gezegd dat het de laatste keer was dat we hen hielpen. Vorig jaar (2009) vroegen wij ons al af of wij ook het recht hebben om hen bij een volgende aanvraag effectief te weigeren ? »
Een centrum vraagt nog meer aandacht voor preventie en anticonceptie en meer bepaald voor informatie over IUD « s.
A.4. Voorstellen om de preventie betreffende ongewenste zwangerschappen te verbeteren
De centra aangesloten bij de VZW LUNA hebben er, net als vorige jaren, voor gekozen vraag 4 gezamenlijk te beantwoorden : « Hebt u vanuit uw ervaring eventueel voorstellen om de preventie inzake ongewenste zwangerschappen te verbeteren ? »
1. Het belang van langwerkende voorbehoedmiddelen om ongewilde zwangerschappen te voorkomen
We willen de aandacht van de Evaluatiecommissie vestigen op de mogelijkheden die het onmiddellijk plaatsen van een spiraal na een zuigcurettage heeft op het reduceren van ongewilde zwangerschappen. Het artikel « Immediate versus delayed IUD insertion after uterine aspiration » van Paula H. Bednarek, Mitchell D. Creinin et al in The New England Journal of Medicine (June, 9, 2011) betreft een studie bij 575 vrouwen die een zuigcurettage hadden bij een zwangerschap tussen 5 en 12 weken en die een spiraal wensten als toekomstige anticonceptie. De groep werd « at random » verdeeld in twee groepen : bij een groep van 258 vrouwen werd onmiddellijk een spiraal geplaatst, bij een tweede groep van 317 vrouwen werd een afspraak gemaakt voor een spiraalplaatsing 2 à 6 weken na de zuigcurettage. Een eerste belangrijk verschil was dat in de eerste groep bij 100 % van de vrouwen een spiraal geplaatst werd, in de groep die een latere afspraak kreeg voor de plaatsing verminderde dit tot 71.3 %. Dit betekent dat in de tweede groep 28.7 % van de vrouwen hun latere afspraak voor een spiraalplaatsing niet nakomt.
Het grote voordeel van een voorbehoedmiddel zoals het spiraal of een implantaat is dat het zeer effectieve, lange termijn voorbehoedmiddelen zijn waarbij je als gebruiker geen fouten kan maken. Door deze eigenschappen zijn het belangrijke middelen om ongewilde zwangerschappen te voorkomen.
De kans op falen bij bijvoorbeeld een spiraal varieert van 0.1 tot 0.8 % gedurende het eerste jaar (vergelijkbaar met het falen van sterilisatie bij de vrouw). De kans op een ongewilde zwangerschap bij pilgebruiksters is aanzienlijk hoger.
Ook de LUNA-centra ervaren dat een deel van de abortuspatiënten die gekozen heeft voor langwerkende anticonceptie (spiraal of implantaat), deze omwille van financiële redenen niet kan laten plaatsen op de dag van de ingreep, en dat deze patiënten dikwijls ook niet terugkomen om die op een later moment te plaatsen. Het is jammer dat financiële barrières de toegang tot de veiligste anticonceptie belemmeren voor de groep vrouwen die deze het meest nodig heeft. Het is een gemiste kans om een herhaalde ongewilde zwangerschap en abortus te voorkomen bij deze kansarme vrouwen. In dit opzicht moet de terugbetaling van de meest efficiënte anticonceptie (koperspiraal, hormonaal spiraal en implantaat) door de Evaluatiecommissie zeker aanbevolen worden.
We willen ook wijzen op specifieke problemen met betrekking tot anticonceptie van patiënten die in Fedasilcentra verblijven of voor wie OCMW's de kosten voor de behandeling dragen. Tussenkomst voor orale contraceptie is meestal geen probleem, maar de kostprijs voor spiralen of implantaten wordt vaak niet vergoed. Het hoeft waarschijnlijk geen betoog dat orale anticonceptie, die elke dag gebruikt moet worden, niet de meest geschikte vorm van anticonceptie is voor mensen wier leefomstandigheden onzeker zijn.
In diezelfde context willen we de aandacht vestigen op een unieke Zweedse studie waarbij een groep vrouwen tussen hun 19e en hun 44e gevolgd werden met als doel een zicht te krijgen op het anticonceptiegebruik gedurende deze periode. « A longitudinal study of contraception and pregnancies in the same women followed for a quarter of a century », Ingela Lindh, Angneta Andersson et al, Human Reproduction, Vol. 25, nr. 6, pp. 1415 -1422, 2010.
De keuze voor een bepaald voorbehoedmiddel is erg gebonden aan leeftijd. Tot de leeftijd van 29 jaar was orale contraceptie de meest gebruikte methode, terwijl het gebruik van een spiraal het meest voorkomend was na de leeftijd van 29 jaar. Deze wetenschap gecombineerd met het feit dat er een verhoogd risico is op ongewilde zwangerschappen bij vrouwen die al eerder een zwangerschapsafbreking hadden (Heikinheimo et al., 2008; Lindh et al, 2009 — genoemd in bovenvermeld artikel) duidt eens te meer op het belang van spiraalplaatsingen aansluitend op een zwangerschapsafbreking om ongewilde zwangerschappen te voorkomen.
2. Mythes over zwangerschapsafbreking
Ook willen we de aandacht vestigen op een aantal hardnekkige mythes rond zwangerschapsafbrekingen. Deze mythes bemoeilijken het beslissingsproces bij de confrontatie met een ongewilde zwangerschap. Voor het goed verloop van een beslissingsproces is het fundamenteel dat je de verschillende elementen helder op een rij krijgt. Het bestaan van hardnekkige mythes rond ongewilde zwangerschap en zwangerschapsafbreking maakt dat er vaak figuurlijk eerst puin geruimd moet worden voordat men tot de kern kan doordringen. We vinden het dan ook belangrijk de meest voorkomende mythes op een rij te zetten én er een correct antwoord op te formuleren.
Mythe 1 :
Vooral meisjes van 16 worden ongewild zwanger en hebben een abortus.
In 2009 (de meest recente abortuscijfers in België) vond 14 % van alle zwangerschapsafbrekingen (2 674 van de 18 870) plaats bij vrouwen jonger dan 20 jaar.
| Âge — Leeftijd | Nombre — Aantal | Nombre — Aantal | % | % |
| 2008 | 2009 | 2008 | 2009 | |
| 12 | 2 | 1 | 0.01 | 0.01 |
| 13 | 14 | 12 | 0.08 | 0.06 |
| 14 | 89 | 66 | 0.48 | 0.35 |
| 15 | 189 | 191 | 1.02 | 1.01 |
| 16 | 359 | 363 | 1.93 | 1.92 |
| 17 | 554 | 524 | 2.98 | 2.78 |
| 18 | 712 | 723 | 3.83 | 3.83 |
| 19 | 774 | 794 | 4.16 | 4.21 |
| Total. — Totaal | 2 693 | 2 674 | 14.49 | 14.17 % |
[Het aantal bevallingen bij min twintigjarigen was in 2008 (meest recente cijfers) 3 307. Dit geeft een totaal van 6 000 zwangerschappen bij die leeftijdsgroep. Dus in de totale leeftijdsgroep wordt 45 % van de zwangerschappen afgebroken. Het spreekt voor zich dat dit percentage hoger ligt bij de jongste leeftijd.]
De leeftijdsverdeling bij de min twintigjarigen is belangrijk. Wat 2009 betreft zijn 1 517 van de 2 674 of bijna 57 % van de zwangerschapsafbrekingen bij tieners 18 of 19 jarigen. Het aantal van de mythische 16 jarige meisjes is dus heel klein !
Mythe 2 :
Wanneer de abortuswetten zouden worden afgeschaft of als het erg ingewikkeld wordt gemaakt om een abortus te hebben dan daalt het aantal zwangerschapsafbrekingen.
Of een land een abortuswet heeft en/of beschikt over goede voorzieningen, heeft geen invloed op het aantal zwangerschapsafbrekingen. Het belangrijkste verschil tussen landen met goede wetten en goede voorzieningen en de landen die dit niet hebben, is dat in de tweede groep landen vrouwen een grote kans hebben op complicaties en ook sterven aan onveilige abortussen.
Het abortuscijfer is het laagst in regio's met liberale abortuswetten. Restrictieve abortuswetten zijn niet geassocieerd met lagere abortuscijfers.
| Aantal abortussen/1 000 vrouwen (14j.-45j.) | |
| Latijns-Amerika | 32 |
| Afrika | 29 |
| Azië | 28 |
| Europa (inclusief West Europa) | 27 |
| Noord-Amerika | 19 |
| West-Europa | 12 |
Bron : « Induced abortion : incidence and trends worldwide from 1995 to 2008 », Gilda Sedgh et al., The Lancet, januari 2012.
Liberale abortuswetten gaan meestal gepaard met een goede beschikbaarheid en het aanvaard zijn van effectieve voorbehoedmiddelen.
Mythe 3 :
Het gevaar van de « slipping slope »; hoe verder in de zwangerschap een abortus wettelijk toegestaan is, hoe langer vrouwen wachten om een zwangerschap te laten afbreken.
In Nederland kan een abortus tot tweeëntwintig weken. Nederlandse vrouwen maken slechts zeer uitzonderlijk gebruik van de mogelijkheid om een zwangerschap af te breken boven de twaalf weken. Het grootste aantal zwangerschapsafbrekingen boven de twaalf weken die in Nederland uitgevoerd worden zijn zwangerschappen van buitenlandse vrouwen die door de wetten in hun eigen land genoodzaakt zijn hun heil te zoeken in Nederland. Onderstaande cijfers (over vrouwen die behandeld worden in Nederland) geven de nationaliteit aan van de vrouwen die behandeld worden, gekoppeld aan de duur van de zwangerschap op het moment van de abortus.
Zwangerschapsduur in weken naar land van vestiging (2007) — abortussen die plaatsvinden in Nederland.
| Pays — Land | 0-4 sem. — wkn | 5-11 sem. — wkn | Plus-Meer 12 sem. — wkn |
| Pays-Bas. — Nederland | 35 % | 58,2 % | 6,7 % |
| France. — Frankrijk | 98,9 % | ||
| Allemagne. — Duitsland | 7 % | 15,8 % | 77,2 % |
| Belgique/Luxembourg. — België/Luxemburg | 8,8 % | 23,9 % | 67,4 % |
| Irlande. — Ierland | 21,4 % | 69,3 % | 9,3 % |
Bron : Landelijke Abortus registratie 2007 (Rutgers Nisso Groep, 2008).
(Er gaan elk jaar om en bij de 700 à 800 Belgische vrouwen naar Nederland voor een zwangerschapsafbreking boven de 14 weken.)
Mythe 4 :
Als iedereen een veilig voorbehoedmiddel gebruikt, dan is abortus niet meer nodig.
De beschikbaarheid van effectieve voorbehoedmiddelen doet het aantal abortussen dalen, maar de nood aan zwangerschapsafbrekingen zal nooit verdwijnen.
De WHO berekende dat als iedereen het voorbehoedmiddel dat hij of zij gebruikt perfect (dus geen gebruikersfouten) zou toepassen, zelfs dan zouden er jaarlijks 5.9 miljoen ongeplande zwangerschappen zijn.
Table 1.1 : Estimated accidental pregnancies resulting from contraceptive failure worldwide (estimates for 1993)
| Contraceptive methode | Estimated failure rate (perfect use) (1) % | Estimated failure rate (typical use) (1) % | Number of users (2) 000's | Number of accidental pregnancies (perfect use) 000's | Number of accidental pregnancies (typical use) 000's |
| Female sterilization | 0,50 | 0,50 | 201,000 | 1,005 | 1,005 |
| Male sterilization | 0,10 | 0,15 | 41,000 | 41 | 62 |
| Injectables | 0,30 | 0,30 | 26,000 | 78 | 78 |
| IUD | 0,60 | 0,80 | 149,000 | 894 | 1,192 |
| Pill | 0,10 | 5,00 | 78,000 | 78 | 3,900 |
| Male condom | 3,00 | 14,00 | 51,000 | 1,530 | 7,140 |
| vaginal barrier | 6,00 | 20,00 | 4,000 | 240 | 800 |
| Periodic abstinence | 3,00 | 25,00 | 26,000 | 780 | 6,500 |
| Withdrawal | 4,00 | 19,00 | 31,000 | 1,240 | 5,890 |
| Total | 607,000 | 5,886 | 26,567 |
(1) Trussel (1998) Estimates based on USA data. Failure rates are expressed as percentage of women who will become pregnant during one year while using the method.
(2) United Nations Population Division (2002). Estimated number of women aged 15-49 who are in marital or consensual union.
Maar laat ons vooral niet vergeten dat vrouwen een « lang vruchtbaar leven » hebben ! Wetenschappers gebruiken de term « vruchtbare vrouwen » voor de leeftijdscategorie 15-44. Een vruchtbaar leven van 30 jaar betekent dat je ongeveer 400 cycli hebt waarin je zwanger kan worden. Indien een vrouw tijdens al die vruchtbare jaren geen kinderen zou willen en nooit anticonceptie zou gebruiken, zou zij meer dan 30 keer ongewild zwanger worden en een abortus ondergaan. Dat wil ook zeggen dat de meeste vrouwen iets doen om niet zwanger te worden, zij het niet altijd met succes.
En dan is er nog de aard van het beestje. Seksualiteit is één van de meest irrationele aspecten van ons leven, het gebruiken van een voorbehoedmiddel is daarentegen een erg rationeel aspect.
Mythe 5 :
Als je een abortus hebt is dat een aanslag op je geestelijke gezondheid.
Anti-choice bewegingen stellen sinds jaar en dag alles in het werk om het bestaan van een post-abortus-syndroom te bewijzen. Voorlopig zonder resultaat. Een van de meest legendarische pogingen was deze van Dr. Everett Koop, die de opdracht kreeg van de toenmalige president van de V.S. Ronald Reagan om de gezondheidseffecten van abortus te onderzoeken. Het hoeft daarbij waarschijnlijk niet gezegd dat zowel Koop als Reagan fervente tegenstanders van abortus waren. Zijn conclusie (1989) was desalniettemin dat niet kan aangetoond worden dat het hebben van een abortus effecten had op de geestelijke gezondheid.
Vooral de American Psychological Association (APA) speelt een belangrijke rol in het onderzoek naar effecten van abortus op de geestelijke gezondheid. In hun « Report of the APA Task Force on Mental Health and Abortion » van 2008 wordt gesteld dat de prevalentie van geestelijke gezondheidsproblemen bij vrouwen die een eenmalige, legale, eerste-trimester abortus hebben (omwille van een niet-therapeutische reden), vergelijkbaar is met het voorkomen van geestelijke gezondheidsproblemen in de algemene bevolking.
Een abortus omwille van foetale afwijkingen blijkt wel geassocieerd met negatieve psychologische reacties. Deze zijn vergelijkbaar met die van vrouwen die een miskraam hadden bij een gewenste zwangerschap, met die van vrouwen die een doodgeboorte hadden of wiens pasgeboren kind overleed. Dit verschil benadrukt het belang van het al dan niet gewenst zijn van de zwangerschap als we spreken over psychologische reacties na een abortus.
Natuurlijk zijn er vrouwen die het moeilijk hebben na een zwangerschapsafbreking : vrouwen die verdrietig zijn, gevoelens van rouw en verlies ervaren. Negatieve psychologische reacties na een abortus zijn niet altijd gerelateerd aan de abortus an sich. Factoren die wel een voorspellende waarde hebben voor negatieve psychologische reacties zijn :
— percepties van stigma rond abortus, geheimhouding van de beslissing en een gebrek aan sociale steun bij het nemen van de beslissing;
— een vroegere geschiedenis van geestelijke gezondheidsproblemen;
— persoonlijkheidsfactoren zoals een laag zelfbeeld en het gebruiken van vermijding en ontkenning als coping mechanismen;
— karakteristieken van de zwangerschap, met name de gewenstheid ervan.
De belangrijkste voorspeller voor de geestelijke gezondheid na een abortus is de geestelijke gezondheid voor de abortus. Dit geldt ook voor andere stresserende « life events », inclusief het krijgen van een kind.
De Diagnostical and Statistical Manual of Mental Disorders, kortweg DSM, is het standaardwerk voor de classificatie van psychische aandoeningen. Op dit moment wordt de vijfde editie, de zogenaamde DSM-V voorbereid. Er is geen sprake van de mogelijkheid dat een post-abortion-syndrom zou opgenomen worden in dit standaardwerk.
Mythe 6 :
Waarom staan ongewenst zwangere vrouwen hun kind niet af voor adoptie, er zijn zoveel mensen die kinderen willen ?
Alleen in theorie is adoptie een alternatief voor abortus, in het « echte leven » is er niets minder waar. Afstand bij de geboorte is niet alleen een zeer zeldzaam fenomeen in een land als België, de enige vrouwen die dit overwegen zijn vrouwen die zeer laat in hun zwangerschap ontdekken zwanger te zijn en die niet meer de mogelijkheid hebben de zwangerschap af te breken. Het aantal kinderen dat in België bij de geboorte wordt afgestaan, spreekt voor zich. Het afstaan van een kind is één van de moeilijkste opdrachten die een vrouw kan meemaken. Vrouwen voelen zich veel te verantwoordelijk voor hun zwangerschap om voor die oplossing te kiezen, tenzij er geen andere oplossing is.
Mythe 7 :
Van een abortus krijg je borstkanker.
Dit is een mythe die halsstarrig door een deel van de anti-choice beweging wordt herhaald. In de loop der jaren hebben allerlei gerenommeerde instituten officiële verklaringen afgelegd dat er geen causaal verband is tussen abortus en het ontwikkelen van borstkanker :
— http://www.acog.org/About_ACOG/News_Room/News_Releases/2003/ACOG_ Finds_No_Link_ Between_Abortion_and_Breast_Cancer_Risk;
— http://www.acog.org/Resources_And_Publications/Committee_Opinions/Committee_on_Gyne cologic_Practice/Induced_Abortion_and_Breast_Cancer_Risk;
— http://www.cancer.gov/cancertopics/factsheet/Risk/abortion-miscarriage;
— http://www.cancer.org/Cancer/BreastCancer/MoreInformation/is-abortion-linked-to-breast-cancer.
Mythe 8 :
Van een abortus word je onvruchtbaar.
Een abortus uitgevoerd in goede medische omstandigheden heeft een extreem laag complicatierisico. De link tussen abortus en onvruchtbaarheid heeft ongetwijfeld historische gronden. Helaas is het voor veel vrouwen, die leven op plekken op de wereld waar men geen toegang heeft tot goede abortushulpverlening, nog steeds een realiteit dat abortussen worden uitgevoerd onder slechte omstandigheden ... met alle gevolgen vandien.
B. Ziekenhuizen
Voorafgaande opmerking
Twee instellingen hebben, ondanks herhaaldelijk aandringen door het secretariaat van de Commissie, geen jaarverslagen overgemaakt. Sommige instellingen hebben geen georganiseerde voorlichtingsdienst omdat enkel zwangerschapsafbreking op ernstige medische indicatie gebeurt.
Patiënten die vragen om een niet medisch geïndiceerde afbreking, zoals bij ongewenste/ongeplande zwangerschap, worden steeds doorverwezen naar één van de erkende abortuscentra.
B.1. Samenstelling en werking van de dienst
a. Alle instellingen doen beroep op medewerkers met volgende kwalificatie : maatschappelijk assistent, psycholoog, sociaal verpleegkundige, vroedvrouw en de artsen zelf.
b. Bij één instelling werkt de voorlichtingsdienst niet uitsluitend voor de abortusproblematiek maar maakt deel uit van de Dienst Gynaecologie, Andrologie, Obstetrie.
c. Een beperkt aantal instellingen heeft dus geen georganiseerde voorlichtingsdienst. Er worden in deze instellingen enkel zwangerschapsafbrekingen verricht op medische indicatie. Patiënten krijgen gepaste en vereiste toelichting van de artsen naar aanleiding van de pathologische toestand die de aanleiding vormt voor de afbrekingsprocedure. In andere gevallen wordt beroep gedaan op de Ethische Commissie van de instelling.
B.2. Toegepaste opvang- en hulpmethoden
Waar de jaarverslagen omstandig zijn ingevuld zijn de procedures gelijklopend als bij de centra.
B.3. Gevallen van opvang en hulp waarop dient gewezen te worden
Door de vroedvrouwen van een instelling werd een koffer met hulpmiddelen gemaakt om het verlies van een kind te verwerken.
Vrouwen uit Oost- en Centraal Europese landen gebruiken dikwijls abortus als anticonceptie.
B.4. Voorstellen om de preventie betreffende ongewenste zwangerschappen te verbeteren
— vraag om meer gerichte campagnes met betrekking tot anticonceptie;
— vraag om mirea-spiraal goedkoper te verstrekken;
— een ziekenhuis wijst op praktische moeilijkheden die vrouwen ervaren bij doorverwijzingen van andere ziekenhuizen.
BESLUITEN
1. Zoals het in de vier vorige verslagen voor de jaren 2002-2003, 2004-2005, 2006-2007 en 2008-2009 werd opgemerkt, moeten de aan de Commissie gerapporteerde cijfers van de zwangerschapsafbrekingen voor de jaren 2010-2011 verbeterd worden. Indien men van het totaal aantal in België uitgevoerde zwangerschapsafbrekingen (1) het aantal van de in het buitenland gedomicilieerde vrouwen die in ons land een zwangerschapsafbreking laten uitvoeren in mindering brengt (2) en men het aantal Belgische en Luxemburgse vrouwen die in Nederland een zwangerschapsafbreking laten uitvoeren (3), alsmede een aantal laattijdig ingediende aangiften die in de tabellen van deel 1 niet verwerkt konden worden (4), toevoegt, dan komt men tot de volgende cijfers :
| 1995 | 1996 | 1997 | 1998 | 1999 | 2000 | 2001 | 2002 | 2003 | |
| (1) | 11 243 | 12 628 | 12 666 | 11 999 | 12 734 | 13 762 | 14 775 | 14 792 | 15 595 |
| (2) | -188 | - 275 | - 253 | - 240 | - 354 | - 340 | - 353 | - 414 | - 349 |
| (3) | + 2 247 | + 2 019 | + 1 813 | + 1 567 | + 1 557 | + 1 473 | + 1 334 | + 1 224 | + 1 091 |
| (4) | + 96 | + 161 | + 31 | + 256 | + 0 | + 28 | + 422 | + 115 | + 370 |
| 13 398 | 14 533 | 13 857 | 13 582 | 13 937 | 14 923 | 16 178 | 15 716 | 16 707 |
| 2004 | 2005 | 2006 | 2007 | 2008 | 2009 | 2010 | 2011 | |
| (1) | 16 024 | 16 696 | 17 640 | 18 033 | 18595 | 18870 | 19 095 | 19 578 |
| (2) | - 392 | - 295 | - 296 | - 314 | - 291 | - 252 | - 182 | - 123 |
| (3) | + 984 | + 913 | + 857 | + 851 | + 830 | + 803 | + 681(*) | + (**) |
| (4) | + 316 | + 553 | + 0 | + 135 | + 172 | + 0 | + 93 | + 144 |
| 16 932 | 17 867 | 18 201 | 18 705 | 19 306 | 19 421 | 19 687 | 19 599 |
(*) dit aantal is onvolledig omdat er 2 abortusklinieken in 2010 in Nederland werden gesloten, waarvan 1 na een faling.
(**) dit cijfer kon niet tijdig worden meegedeeld.
2. De Commissie herinnert er nogmaals aan dat de gegevens in dit verslag, evenals deze opgenomen in de vorige verslagen, om verschillende redenen, die wijzigden in de loop der jaren, geen wetenschappelijke precisie hebben.
Immers :
— om redenen die tot nog toe onverklaard blijven, zijn er verschillen qua aantal tussen de individuele aangiften van de artsen en de jaarverslagen van de instellingen waarin deze artsen werkzaam zijn;
— de Commissie is niet gemachtigd om na te gaan of de gegevens meegedeeld door de artsen en door de instellingen aan een wetenschappelijk vastgestelde werkelijkheid beantwoorden; zij is zelfs niet gemachtigd om na te gaan of de documenten die haar werden overgemaakt op een correcte wijze werden ingevuld; zij is evenmin gemachtigd om een instelling of een arts te verplichten een aangifte te doen. Kortom, de Commissie is volledig afhankelijk van de gegevens die haar worden bezorgd.
3. Of het nu om bruto gegevens gaat (tabel 1.A.1 van deel 1) of om verbeterde gegevens (cf. punt 1 hierboven), het totaal aantal zwangerschapsafbrekingen meegedeeld aan de Commissie is blijven stijgen in 2010 en 2011 ten opzichte van voorgaande jaren, deze groei lijkt betrekkelijk regelmatig.
De Commissie benadrukt dat, wanneer de statistiek van de zwangerschaps-afbrekingen een evidente numerieke stijging laat zien, deze groei verschillende verklaringen kan hebben, onder andere kunnen, met name een stijging van de bevolking van het Koninkrijk — een fenomeen dat overigens de laatste jaren bewezen is — en een verbeterde kwaliteit van de inlichtingen overgemaakt aan de Commissie, bijvoorbeeld een van de verklaringen zijn.
4. De Commissie heeft al meermaals opgemerkt, in het bijzonder in haar vijf laatste verslagen, dat een multidisciplinaire studie door een wetenschappelijke instelling, zoals bijvoorbeeld in Nederland en Frankrijk, het geheel van deze cijfers zou kunnen trachten te verklaren aan de hand van elders ingewonnen gegevens (demografische, medische, psychologische, socio-economische, politieke en culturele). Het zou dan ook onvoorzichtig zijn voorbarige conclusies te trekken uit de gegevens waarover de Commissie beschikt en die ze in voorliggend verslag meedeelt.
Mits dit fundamenteel voorbehoud, kan men niet anders dan getroffen worden door de volgende feiten :
a) de getelde bevolking van België is de laatste jaren toegenomen; dit is de reden waarom de ratio als resultaat van de deling van het aantal levende geboorten in België, vastgesteld door het Nationaal Instituut van de Statistiek, door het totaal aantal zwangerschapsafbrekingen, meegedeeld aan de Commissie, betrekkelijk stabiel is. Deze ratio schommelt tussen 14 en 15 zwangerschapsafbrekingen (bij vrouwen 15-44 jaar) per 100 levende geboorten voor de periode 2001-2008;
b) bij vrouwen die gedomicilieerd zijn in het Brussels Hoofdstedelijk Gewest noteert men het hoogste percentage vrijwillige zwangerschapsafbrekingen van alle gewesten; toch stelt men het volgende vast :
— enerzijds is dat percentage licht aan het dalen : het bedroeg 25,61 % in 2008 en 24,58 % in 2009, wat al een lichte daling betekende ten opzichte van de vorige periode; voor de periode die hier in aanmerking wordt genomen bedraagt het percentage 24,90 % in 2010 en 24,33 % in 2011 van het totaal aantal aangegeven zwangerschapsafbrekingen (tabel 1.A.4.1. van deel 1);
— anderzijds verklaren 34,09 % van de vrouwen in 2010 en 30,84 % van de vrouwen in 2011 dat ze zich in een materiële noodsituatie bevinden (tabel 2.1.1.1. van deel 1); ook hier kan men spreken van een lichte daling ten opzichte van de vorige situatie (34,13 % in 2008 en 28,90 % in 2009, en die percentages wezen toen al op een lichte daling ten opzichte van de periode daarvoor);
— en ten slotte is dit precies het Gewest met het hoogste werkloosheidscijfer binnen het Koninkrijk en de sociaal meest kwetsbare groepen;
c) sinds 6 jaar blijft het aantal abortussen bij minderjarige vrouwen stabiel;
d) de gemiddelde leeftijd varieert zeer weinig : 27,40 jaar voor 2006; 27,33 jaar voor 2007; 27,34 jaar voor 2008; 27,33 jaar voor 2009; 27,44 jaar voor 2010 en 27,32 jaar voor 2011.
Misschien zou een wetswijziging, die toelaat meer omvattende gegevens in te zamelen omtrent de vrouwen die overgaan tot zwangerschapsafbreking, er toe kunnen bijdragen zich meer specifiek op preventie te richten. Men denkt hierbij aan meer exacte gegevens over de feitelijke situatie, eerder dan over de burgerlijke staat, over de sociaaleconomische situatie en over de nationaliteit.
5. Volgens de gegevens overgemaakt aan de Commissie bedraagt het totaal aantal zwangerschapsafbrekingen uitgevoerd na 12 weken en verantwoord omwille van een zware kwaal van de foetus 121 in 2010 en 97 in 2011, wat zeer weinig is ten opzichte van de zwangerschapsafbrekingen voor het einde van de 12e week na de bevruchting. Een analyse van de wetenschappelijke gegevens (2) lijkt aan te tonen dat dit ruim onderschat is : volgens het Eurocat-register voor de provincies Antwerpen, Oost-Henegouwen en Namen bedraagt het cijfer van zwangerschapsafbrekingen omwille van foetale misvormingen 155 in 2010 voor deze provincies alleen.
In functie van het aantal geboorten voor het ganse land en de prevalentie van afbrekingen omwille van foetale afwijkingen (45 per 10 000 geboorten), zou het werkelijk aantal zwangerschapsafbrekingen in 2010 4 keer hoger zijn dan gerapporteerd en eerder overeenstemmen met het getal 570.
De onderrapportering zou haar oorsprong vinden in verschillende oorzaken waarvan de belangrijkste zijn een gebrekkige kennis van de wet en een administratieve overbelasting van de gezondheidswerkers.
Enerzijds maakt de wet van 13 augustus 1990 tot oprichting van de Evaluatiecommissie inderdaad geen onderscheid tussen de zwangerschapsafbrekingen voor het einde van de 12e week na de bevruchting en de afbrekingen omwille van medische motieven na de termijn van 12 weken (gezondheid van de foetus, van de moeder of van beide). Sommige artsen zouden kunnen denken dat de medische afbrekingen om medische redenen wettelijk verschillen van de afbrekingen voor het einde van de 12e week na de bevruchting en daarom de eerst genoemde bijgevolg niet melden.
Anderzijds worden in de ziekenhuizen de artsen en andere gezondheidswerkers meer en meer belast met een groeiend aantal administratieve taken zonder aangepaste logistieke middelen wat een onderrapportering kan meebrengen.
De betrekkelijke stabiliteit van de afbrekingen omwille van foetale afwijkingen in de verschillende verslagen van de Commissie stemt niet overeen met de wetenschappelijke gegevens gekend in ons land waar de prevalentie van de afbrekingen omwille van afwijkingen van 22,6 per 10 000 geboorten in 1990 naar 45 per 10 000 geboorten in 2010.
6. Veel vrouwen roepen het feit dat ze studente zijn in om hun abortus te verantwoorden. De Commissie doet de suggestie de situatie van de studentes beter verenigbaar te maken met de mogelijkheid hun zwangerschap uit te dragen en daarna hun kind op te voeden naar het voorbeeld van wat gangbaar is in de Scandinavische landen.
7. Het loont de moeite om de Belgische cijfers te vergelijken met die van andere landen. In België bedroeg in 2008 het aantal abortussen per 1 000 vrouwen tussen de 15 en 44 jaar 9, in Nederland was dat 8 en in Frankrijk 16, in Engeland en Wales 17 en in de Verenigde Staten 20. Het percentage zwangerschappen dat in 2008 eindigde in een abortus was in België 12 %, in Nederland 11 %, in Frankrijk 18 % en in de Verenigde Staten 19 % (3) .
In Frankrijk bleef het aantal abortussen per 1 000 vrouwen tussen de 15 en 49 jaar vrij stabiel en bleef rond de 14 voor de periode van 1974 tot 2004 (4) .
En in België bedroeg het aantal abortussen per 100 levende geboorten (voor vrouwen tussen 15-44 jaar) 11,15 in 1993, 11,92 in 1997, 14,17 in 2001, 14,65 in 2003, 14,94 in 2005, 15,07 in 2007, 15,08 in 2008). Deze ratio blijft sedert 2005 dus praktisch constant (5) .
De Commissie heeft zich gebogen over deze ratio's en in het bijzonder over de studie van Nathalie Bajos (6) en betreurde het dat hetzelfde thema in ons land niet behandeld werd. Maar de Franse situatie is wellicht niet fundamenteel verschillend van de Belgische.
Hoewel sommige parlementsleden het aantal abortussen graag hadden zien dalen, moet de Commissie wel degelijk vaststellen dat dit niet gebeurd is : hoewel het onzeker is dat het cijfer bij ons gestegen is, is het zeker en vast niet gedaald. De vraag of dit een reden tot bezorgdheid is, werd al vele keren besproken binnen de Commissie. Daarbij wou men dan ook onderzoeken hoe men het aantal zwangerschapsafbrekingen zou kunnen doen dalen. Maar daarvoor moeten we meer inzicht krijgen in de sociologische realiteit waarbinnen zwangerschapsafbrekingen en, in een eerdere fase, onvoorziene zwangerschappen zich situeren. Het is net op dat vlak dat de studie van Nathalie Bajos interessante informatie biedt.
Eerste paradoxale vaststelling : het gebruik van anticonceptie is toegenomen maar het aantal zwangerschapsafbrekingen is niet gedaald. Het valt op dat het cijfer 14/1 000 vrouwen tussen 15 en 49 jaar al 30 jaar stabiel is gebleven. « Men schat dat 40 % van de vrouwen tijdens hun leven zullen overgaan tot een zwangerschapsafbreking. »
Het gebruik van anticonceptie (pil, spiraaltje) is gestegen van 52 % (1978) naar 82 % (2004). In dezelfde periode is het aantal onvoorziene zwangerschappen gedaald van 46 % naar 33 % van de zwangerschappen.
Tweede vaststelling : er wordt vaker overgegaan tot een zwangerschapsafbreking. Terwijl in 1975 bij 41 % van de onvoorziene zwangerschappen een zwangerschapsafbreking werd uitgevoerd, was dat in 2004 al 61 %. Die trend valt vooral op bij erg jonge vrouwen.
Maar, zo zegt de auteur, daaruit mogen we niet besluiten dat anticonceptie geen enkel effect heeft op het aantal zwangerschapsafbrekingen. Als iemand overgaat tot een zwangerschapsafbreking, dan is dat « een proces dat het resultaat is van een opeenvolging van verschillende gebeurtenissen. Eerst en vooral moet de vrouw (1) seksuele betrekkingen hebben terwijl ze niet zwanger wenst te worden en vervolgens (2) mag ze geen anticonceptie gebruiken of moet de anticonceptie falen. (3) Als ze eenmaal geconfronteerd is met de onvoorziene zwangerschap, moet ze ervoor opteren om die af te breken in plaats van voort te zetten en (4) moet ze tijdig en overeenkomstig de wettelijk vastgelegde voorwaarden in het zorgsysteem stappen ». Onderzoek toont aan dat het voorwaarden (1) en (3) zijn die het effect van een daling van (2) beperken.
De auteur is van oordeel dat het niet de voorwaarden voor de toegang tot zwangerschapsafbrekingen zijn die een impact hebben gehad op de vraag maar wel « de nieuwe voortplantingsnorm en de evolutie van de sociaalaffectieve trajecten die samen de neiging om tot abortus over te gaan bij onvoorziene zwangerschappen versterken ... » en dat die factoren « statistisch gezien het effect van de stijging van het gebruik van moderne anticonceptie tenietdoen ».
Die contextuele verandering bestaat, nog steeds volgens Nathalie Bajos, uit de volgende elementen :
a) « de context van de evolutie van het statuut van de vrouw, die onder andere gekenmerkt wordt door de snelle stijging in de scholingsgraad en de beroepsactiviteit bij vrouwen. Door de anticonceptie, en bij het falen daarvan de zwangerschapsafbreking, is men kunnen evolueren van gedwongen moederschappen naar moederschappen uit eigen keuze. » Toekomstige ouders wachten op een stabiele affectieve context en op het juiste moment in hun beroepsloopbaan.
b) Onvoorziene zwangerschappen doen zich vandaag de dag in andere omstandigheden voor dan vroeger : hoewel de leeftijd waarop men voor het eerst betrekkingen heeft en ook de frequentie van de betrekkingen niet echt veranderd zijn, zijn er meer buitenechtelijke seksuele relaties en worden vrouwen op latere leeftijd moeder (gemiddeld 9,5 jaar na de eerste betrekkingen terwijl dat 25 jaar geleden na 5,5 jaar was).
c) Echtelijke instabiliteit is de norm geworden als men het aantal scheidingen bekijkt.
d) Koppels worden vaker geconfronteerd met fasen van sociaaleconomische instabiliteit die voornamelijk de vrouwen treffen.
8. Hoe het aantal zwangerschapsafbrekingen doen dalen ? Overeenkomstig artikel 1, § 3, c), van de wet van 13 augustus 1990 meent de Commissie haar aanbevelingen reeds gedaan in haar vorige verslagen grotendeels te mogen herhalen :
a) De preventie van onvoorziene zwangerschappen, en dus van zwangerschapsafbrekingen, begint noodzakelijk bij het stimuleren van respect voor zichzelf en voor de ander en bij het opnemen van verantwoordelijkheid ten opzichte van een mogelijke derde.
De gegevens van voornoemde studie tonen aan dat het grootste werk geleverd moet worden voordat de onvoorziene zwangerschap zich voordoet : de toegang tot informatie en anticonceptie moet nog steeds worden verbeterd en de vrouwen en koppels moeten beter begeleid worden tijdens die lange jaren van sociaalaffectieve instabiliteit waarin een zwangerschap niet gewenst is en adequate anticonceptie noodzakelijk is.
b) De Commissie is van oordeel dat vooral jongeren, zowel jongens als meisjes, en de jong volwassenen zich bewust moeten zijn van hun vruchtbaarheid en hiervoor verantwoordelijkheid moeten kunnen dragen.
Een gespecialiseerde voorlichting en een aangepaste vorming zijn onontbeerlijk, zowel op school als daarbuiten, om hen aan te leren hoe zij op gepaste wijze affectieve en seksuele relaties alsook hun vruchtbaarheid kunnen benaderen.
De verbetering van de kwaliteit van deze vorming veronderstelt de integratie van een seksuele en relationele opvoeding in de opleidingsprogramma's van de toekomstige leerkrachten. Slechts als aan deze voorwaarde is voldaan, kan een geactualiseerde voorlichting, die een betere toegang tot alle vormen van contraceptie mogelijk maakt, vervolgens resultaten opleveren.
c) De Commissie merkt op dat de meest efficiënte contraceptie t.w. contraceptie met langdurige werking (hormonaal spiraal, koperspiraal en implantaat) niet wordt terugbetaald terwijl ze herhaalde afbrekingen kan vermijden (7) .
d) Een vrouw moet steeds vrij kunnen beslissen of zij haar zwangerschap al dan niet wil afbreken. Er moet dus voor gezorgd worden dat vrouwen kunnen weerstaan aan de sociale druk van diegenen die hen willen aanzetten tot zwangerschapsafbreking of dit net willen verhinderen, en dat zij eventueel alle bestaande structuren voor hulp aan personen in nood kunnen contacteren.
Evenmin mogen financiële motieven de keuze van een vrouw bepalen.
e) De Commissie onderstreept eens te meer het belang aandacht te hebben voor de suggesties geformuleerd door de instellingen, zowel centra als ziekenhuizen, om het aantal zwangerschapsafbrekingen te doen dalen.
Sedert 1992 stelt de Commissie om de twee jaar een evaluatieverslag op dat overeenkomstig de wet die haar heeft opgericht, wordt overgemaakt aan het federaal Parlement. Nochtans werd de bevoegdheid om preventieve maatregelen te nemen « met het oog op het doen dalen van zwangerschapsafbrekingen » grotendeels toegewezen aan de gemeenschappen; vele van de hoger vermelde suggesties zijn er trouwens de illustratie van. De Commissie neemt derhalve de vrijheid om, zoals zij het heeft gedaan met de vorige twee verslagen, ook dit over te maken aan de parlementen van de gemeenschappen. Ze maakt dit verslag voortaan ook over aan de Gemeenschappelijke Gemeenschapscommissie, de Vlaamse Gemeenschapscommissie en de Franse Gemeenschapscommissie van het Brussels Hoofdstedelijk Gewest.
4. ONTVANGEN WERKEN
1. Rapporten :
a) België :
— Bellens, R., Craeymeersch, G., Van Crombrugge, L., Kollektief Antikonceptie, Jaarverslag 1991, Gent, 1992, 52 blz.
— id., Kollektief Antikonceptie, Jaarverslag 1992, Gent, 1993, 28 blz.
— id., Kollektief Antikonceptie, Jaarverslag 1993, Gent, 1994, 52 blz.
— id., Kollektief Antikonceptie, Jaarverslag 1994, Gent, 1996, 54 blz.
— id., Kollektief Antikonceptie, Jaarverslag 1997, Gent, 1999, 56 blz.
— Centrum voor Algemeen Welzijn Sjerp VUB., Jaarverslag 1998, 46 blz.
— CRZ, Jaarverslag 2005, 32 blz.
— Kind en Gezin, Jaarverslag 2003, 63 blz.
— Kind en Gezin, Het kind in Vlaanderen 2003, 157 blz.
— Kind en Gezin, Het kind in Vlaanderen 2004, 193 blz.
— Kind en Gezin, Het kind in Vlaanderen 2005, 199 blz.
— Kind en Gezin, Het kind in Vlaanderen 2006, 195 blz.
— Kind en Gezin, Het kind in Vlaanderen 2007, 191 blz.
— Kind en Gezin, Het kind in Vlaanderen 2008, 198 blz.
— Kind en Gezin, Het kind in Vlaanderen 2009, 211 blz.
— Kind en Gezin, Het kind in Vlaanderen 2010, 211 blz.
— Kind en Gezin, Het kind in Vlaanderen 2011, 219 blz.
— Morbe, E., De abortuswet en de evaluatiecommissie, schets van de totstandkoming, 2005, 252 blz.
— Avortement : Libertés en danger, Actes du colloque international du 12 décembre 2005 à Bruxelles, FPS.
— Van Deputte, C., Een analyse van de discussie over het al dan niet strafbaar stellen van abortus, licentiaatsverhandeling 2006-2007.
— Van Damme, J., Wat helpt bij het eerste gesprek in een abortuscentrum ? Een belevingsonderzoek., masterproef academiejaar 2010-2011, UGent, 80 blz.
— Van Wyverkens, E., Verwachtingen en wensen van vrouwen omtrent de eerste consultatie in een abortuscentrum, masterproef academiejaar 2010-2011, UGent, 97 blz.
b) Buitenland :
CANADA :
— Therapeutic Abortions, 1995, Ottawa, 1997, 52 blz.
DENEMARKEN :
— N., Statistik om prevention og aborter 1988, Vitalstatistik, Kopenhagen, 1989, 82 blz.
— id., 1990, Vitalstatistik, Kopenhagen, 1992, 93 blz.
FRANKRIJK :
— Guignon, N., Les interruptions volontaires de grossesse en France de 1980 à 1989, SESI, Bureau ST 1., Parijs, 1991, 101 blz.
NEDERLAND :
— N., Jaarverslag van de Geneeskundig Hoofdinspecteur van de Volksgezondheid inzake het toezicht op de naleving van de Wet afbreking zwangerschap, 1987, Tweede Kamer, 1989-90, 18386, nrs. 33, 34 en 36;
— id., 1988, Tweede Kamer, 1990-91, 18386, nrs. 37, 39 en 41;
— id., 1989 -90, Tweede Kamer, 1991-92, 18386, nr. 44.
— Rademakers, J., Abortus in Nederland, Jaarverslag landelijke abortusregistratie, 1987-88, Stimezo-onderzoek, Utrecht, 1990, 90 blz.
— id., 1989-90, Stimezo-onderzoek, Utrecht, 1992, 62 blz.
— id., 1991-92, Stimezo-onderzoek, Utrecht, 1995, 54 blz.
— Jaarrapportage 2002 van de Wet afbreking zwangerschap, Staatstoezicht op de Volksgezondheid. Inspectie voor de gezondheidszorg, 18 blz.
— Jaarrapport 2003, Staatstoezicht op de Volksgezondheid, Inspectie voor de gezondheidszorg, 206 blz.
— Jaarrapportage 2004 van de wet afbreking zwangerschap, Den Haag, augustus 2005, Inspectie voor de Gezondheidszorg, 20 blz.
— Jaarrapportage 2005 van de wet afbreking zwangerschap, Den Haag, oktober 2006, Inspectie voor de Gezondheidszorg, 38 blz.
— Jaarrapportage 2006 van de wet afbreking zwangerschap, Den Haag, november 2007, Inspectie voor de Gezondheidszorg, 36 blz.
— Jaarrapportage 2007 van de wet afbreking zwangerschap, Den Haag, november 2008, Inspectie voor de Gezondheidszorg, 36 blz.
— Jaarrapportage 2008 van de wet afbreking zwangerschap, Den Haag, december 2009, Inspectie voor de Gezondheidszorg, 36 blz.
— Jaarrapportage 2009 van de wet afbreking zwangerschap, Den Haag, december 2010, Inspectie voor de Gezondheidszorg, 48 blz.
— Jaarrapportage 2010 van de wet afbreking zwangerschap, Utrecht, december 2011, Inspectie voor de Gezondheidszorg, 40 blz.
SPANJE :
— N., Interrupcion Voluntaria Del Embarazo, 1989, Min. Sanidad y Consumo, Madrid, 1991, 336 blz.
— id., 1994, Min. Sanidad y Consumo, Madrid, 1995, 248 blz.
VERENIGD KONINKRIJK :
— N., Abortion statistics, 1990, England and Wales, Series AB nr. 217, OPCS, London, 1991, 73 blz.
— N., Abortion Act, 1967, Compendium of Guidance, Department of Health, London, 1995, 95 blz.
VERENIGDE STATEN :
— N., Reported induced abortions in Wisconsin, 1990, Wisconsin department of Health and Social Services, Madison, 1991.
ROEMENIË :
— Abortion and contraception in Romenia, A strategic assessment of Policy, Programme and Research Issues, WHO-Geneva 2005, East European Institute for reproductive health, 51 blz.
2. Algemene artikelen en werken
— Abeloos-Fourez, M.Th., Onderzoek betreffende de vrouw in noodsituatie in het kader van de wetgeving over de zwangerschapsafbreking, Brussel, 1995, 16 blz.
— Algemeen Bestuur van de Ontwikkelingssamenwerking, Studiedienst en beleidsondersteuning, Cel Vrouwen en Ontwikkeling, Genderverslag 1997-1998, Verslag aan het Parlement, februari 1999.
— Bankole, A., Singh, S., Haas, T., Reasons Why Women Have Induced Abortions : Evidence from 27 Countries, International Family Planning Perspectives, 1998.
— Bankole, A., Singh, S., Haas, T., Characteristics of Women Who Obtain Induced Abortion : A Worldwide Review 1999.
— Belien, P., Abortus : het grote taboe, Roularta Books, Zellik, 1992.
— Bello, P., Dolto, C., Schiffmann, A., Contraception, grossesse, IVG, Guide pratique, Editions du Seuil, Parijs, 1983, 189 blz.
— Blayo, C., « L'enregistrement des avortements en Angleterre, au Pays de Galles et au Danemark », in Population, 1974, nr. 2, blz. 326-341.
— id., « L'avortement légal en France », in Populations et Sociétés, janvier 1985, nr. 187.
— id., « L'avortement en Europe », in Espace, Populations, Sociétés, 1989-2, blz. 225-238.
— id., « L'avortement en Europe », in Vie Sociale, 1992, nrs. 11-12, blz. 5-11.
— Camus, F., « L'avortement en Grande-Bretagne : bilan de la réforme », in Vie Sociale, 1992, nrs. 11-12, blz. 51-60.
— Centre d'action laïque ASBL : Dossier pédagogique « 20 ans du droit à l'avortement en Belgique », Brussel, 2010, 15 blz.
— Centrum voor Familiale Studies, Abortus voor het Parlement, Brussel, 1979, 23 blz.
— id., De Wet Veil : enquête in Frankrijk, Brussel, 1979, 36 blz.
— Cliquet, R., (red.), « Abortus Provocatus », CBGS, Studies en Documenten, nr. 2, De Sikkel, Antwerpen, 1972, 508 blz.
— Cliquet, R., Callens, M. (red.), Gezinsvorming in Vlaanderen, CBGS, Monografie 1993/1, Brussel, 1993.
— Cock, P., Hulp bij ongewenste zwangerschap, juridisch en sociaal vademecum (losbladig), Federatie CGSO, Gent, 1991.
— de Beaufort, I.D., Dupuis, H.M. (red.), Handboek Gezondheidsethiek, Van Gorcum, Assen — Maastricht, 1988, 681 blz.
— Dehaene, T., Zwangerschap uitgewist ? Over beleving en begeleiding na abortus, Davidsfonds Leuven, 1998, 126 blz.
— Federatie CGSO, Abortus, waar een wet is, is een weg (vouwfolder), Gent, 1993, 178 blz.
— Francois, K., Abortus : De Nationale Evaluatiecommissie die toeziet op de abortuswet, Humanistisch Verbond, Antwerpen, 1994, 116 blz.
— GACEHPA, La réalité et la pratique de l'avortement en Belgique : enquête réalisée en 1985, Brussel, 1987, 24 blz.
— Id., Comparatif : le droit à l'avortement dans les États membres de l'Union européenne, Bruxelles, 2011, 13 blz.
— Henshaw, S., Singh, S., Haas, T., The Incidence of Abortion Worldwide, International Family Planning Perspectives, 1999.
— Henshaw, S., Singh, S., Haas, T., Readings on induced abortion, volume 2 : a world review 2000, International Family Planning Perspectives and Detailed Tables, Allan Guttmacher Institute, 2001.
— International planned parenthood federation, Progress postponed, Abortion in Europe in the 1990s, London, 1993, 173 blz.
— International planned parenthoud federation, Abortion in Europe, volume 28, nº 2, autumn 2000.
— Kaminski, H., Crost, M., « Les interruptions de la grossesse », J. Gynécol.Obstet. Biol. Reprod., Parijs, 1991, 20, blz. 767-773.
— Knöferl, Dr. G. e.a., Modellprogramm — « Beratungsstellen § 218 », Band 127, Kohlhammer, Stüttgart, 1981, 262 blz.
— Kollektief antikonceptie, Ongewenste Zwangerschap (onthaalbrochure), Gent, 1993.
— Marques-Pereira, B., « L'interruption Volontaire de Grossesse », in Courrier Hebdomadaire nrs. 1127 en 1128, CRISP, Brussel, 1986, 41 + 46 blz.
— id., L'avortement en Belgique, Editions de l'Université, Brussel, 1989, 166 blz.
— Ministère de la Culture et des Affaires sociales de la Communaute francaise de Belgique, Grossesse en question (informatiebrochure), i.s.m. CEDIF en GACEHPA, Brussel, 1993, 55 blz.
— Ministerie Volksgezondheid en Leefmilieu (IHE), Gezondheid in het federale België en zijn Gemeenschappen, Brussel, 1993, 191 blz.
— Moreau N., Dr. Swennen B., Dr. Roynet D., et l'équipe du GACEHPA, Étude du parcours contraceptif des adolescentes confrontées à une grossesse non prévue : Eléments pour une meilleure prévention, GACEPHA ASBL, Brussel, 2006, 151 blz.
— Mouvement francais pour le planning familial, Avortement et contraception, démographie, Parijs, 1993.
— Idem, Avortement et application de la loi — Aide-memoire législatif, Parijs, 1996.
— Idem, L'avortement, un droit a protéger (oppositions et opposants en France), Parijs, 1995.
— N., L'interruption Volontaire de Grossesse en Centres extra-hospitaliers, Les cahiers du GERM, Collection Expériences et Analyses, GACEPHA, II, 1993, nº 225, Brussel, 1993, 42 blz.
— N., Choosing Abortion, Women's Information Network, Dublin, 1993, 40 blz.
— Parlement Européen, Résolution du parlement européen sur la santé et les droits sexuels et génésiques (2001/2128 INI) Brussel, 2002, 18 blz.
— Philippe, J., Omtrent abortus, Dagboek van een dokter, EPO, Antwerpen, 1985, 128 blz.
— Rahman, A., Katzive L. and Henshaw S.K., A global review of laws on induced abortion 1985-1997, International Family Planning Perspectives.
— Riemslagh, M., Vanmechelen, B., Abortus voorgoed voorbij ?, Lannoo Campus, 2003, 156 blz.
— Terrenoire, G., L'interruption volontaire de grossesse en Europe, Les cahiers du Comité national d'éthique, 2001, 7 blz.
— Tissot, B., Vekemans, M., L'interruption de grossesse en Belgique et dans les pays voisins, Brussel, 1990, 80 blz. + bijlagen.
— Toussaint, Ph., (red.), L'avortement, Complexe, Brussel, 1973, 195 blz.
— Van Assche, E., (red.), Ongewenste Zwangerschap, handboek hulpverlening, ACCO, Leuven, 1992, 170 blz.
— Van Bilsen, P.M.A., Visser, A., Effecten van seksuele voorlichting aan jongeren, een literatuurstudie, IHF, Brussel, 1993, 82 blz.
— Van Den Bergh, A.S., De methode FINKS, STIMEZO, Den Haag, 1977, 157 blz.
— Van Westering, F., Spanjaard, H., Zo zit dat, Margriet reeks, De Geïllustreerde Pers, Weert, 1990, 95 blz.
— Venner, F., L'opposition à l'avortement — du lobby au commando, Berg International, Collection pensée politique et sciences sociales, 1995, 197 blz.
— Visser, A., Geeraert, A., Lehert, P., Seksualiteit en relatievorming : anticonceptie in België, ACCO, Leuven, 1991, 181 blz.
— Visser, A., Geeraert, A., Lehert, P., Sexualité et contraception : Les relations dans les couples en Belgique, De Boeck Université, Brussel, 1993, 174 blz.
— Witte, E., « De liberalisering van de abortuswetgeving in België (1970-1990) », Rapporten en perspectieven omtrent Vrouwenstudies, nr. 4., VUB Press, Brussel, 1993.
— Zucker-Rouvillois, E., « La loi française sur l'Interruption Volontaire de Grossesse : sa construction », in Vie Sociale, 1992, nr. 11-12, blz. 13-50.
5. SAMENSTELLING VAN DE NATIONALE EVALUATIECOMMISSIE ZWANGERSCHAPSAFBREKING
1. Samenstelling van de Nationale Evaluatiecommissie belast met de evaluatie van de wet van 3 april 1990 betreffende de zwangerschapsafbreking (koninklijk besluit van 14 okt 2009)
Effectieve leden :
1º in de hoedanigheid van geneesheer :
— Mevr. Catherine Donner (F)
— Mevr. Christine Dumoulin (F)
— Mevr. Françoise Kruyen (F)
— Mevr. Axelle Pintiaux (F)
— Dhr. Jan Deprest (N)
— Dhr. Jacques Germeaux (N)
— Mevr. Chantal Kortmann (N)
— Dhr. Alfons Van Orshoven (N)
2º in de hoedanigheid van hoogleraar in de rechten aan een Belgische Universiteit of advocaat :
— Dhr. Jules Messinne (F) — Président
— Mevr. Nicole Gallus (F)
— Dhr. Herman Nys (N) — Voorzitter
— Mevr. Liesbet Stevens (N)
3º als leden afkomstig uit middens die belast zijn met het onthaal en de begeleiding van vrouwen in noodtoestand :
— Dhr. Michel Pasteel (F)
— Dhr. Vincent Schillebeeckx (F)
— Mevr. Arlette Geuens (N)
— Mevr. Els Leuris (N)
Plaatsvervangende leden :
1º in de hoedanigheid van geneesheer :
— Mevr. Valérie Albert (F)
— Mevr. Nathalie Carlier (F)
— Mevr. Isabelle Dumont (F)
— Dhr. Thierry Fobe (F)
— Dhr. Marc Cosyns (N)
— Dhr. Jan De Lepeleire (N)
— Dhr. Paul Deschepper (N)
— Mevr. Anne Verougstraete (N)
2º in de hoedanigheid van hoogleraar in de rechten aan een Belgische Universiteit of advocaat :
— Mevr. Eléonore Delwaide (F)
— Dhr. Jean-Marc Wolter (F)
— Dhr. Stefaan Callens (N)
— Mevr. An Vijverman (N)
3º als leden afkomstig uit middens die belast zijn met het onthaal en de begeleiding van vrouwen in noodtoestand :
— Mevr. Violaine De Clerck (F)
— Mevr. Claire Quevrin (F)
— Mevr. Karline Demasure (N)
— Mevr. Isabelle Schotte (N)
2. Samenstelling van het administratieve kader van de Nationale Evaluatiecommissie belast met de evaluatie van de wet van 3 april 1990 betreffende de zwangerschapsafbreking
— Mevr. Valérie De Nef (F)
— Mevr. Karine Delatte (F)
— Mevr. Lydie Cappelmans (F)
— Mevr. Marie-Jeanne Ribbens (N)
— Dhr. Kristiaan Coppens (N)
— Dhr. Paul Gyssels (N)
6. WETTEKSTEN
1. Wet van 3 april 1990 betreffende de zwangerschapsafbreking
3 april 1990 — Wet betreffende de zwangerschapsafbreking, tot wijziging van de artikelen 348, 350, 351 en 352 van het Strafwetboek en tot opheffing van artikel 353 van hetzelfde Wetboek (Belgisch Staatsblad van 5 april 1990)
In naam van het Belgische Volk,
Wij, in Raad verenigde ministers,
Gelet op het besluit van 3 april 1990, waarbij wordt vastgesteld dat de Koning zich in de onmogelijkheid bevindt om te regeren :
Gelet op de artikelen 25, 69, 79, derde lid, en 82 van de Grondwet,
De Kamers hebben aangenomen en Wij, in Raad verenigde ministers, bekrachtigen hetgeen volgt :
Artikel 1
Artikel 348 van het Strafwetboek wordt vervangen als volgt :
« Art. 348. Hij die, al dan niet geneesheer, door enig middel opzettelijk vruchtafdrijving veroorzaakt bij een vrouw die daarin niet heeft toegestemd, wordt gestraft met opsluiting. Indien de gebruikte middelen hun uitwerking hebben gemist, vindt artikel 52 toepassing. »
Artikel 2
Artikel 350 van hetzelfde Wetboek wordt vervangen als volgt :
« Art. 350. Hij die door spijzen, dranken, artsenijen of door enig ander middel vruchtafdrijving veroorzaakt bij een vrouw die daarin heeft toegestemd, wordt veroordeeld tot gevangenisstraf van drie maanden tot een jaar en tot geldboete van honderd frank tot vijfhonderd frank.
Er is evenwel geen misdrijf wanneer de zwangere vrouw die door haar toestand in een noodsituatie verkeert, een geneesheer verzoekt haar zwangerschap af te breken en indien de zwangerschapsafbreking uitgevoerd wordt onder de volgende voorwaarden :
1º a) de zwangerschapsafbreking moet plaatsvinden vóór het einde van de twaalfde week na de bevruchting;
b) de zwangerschapsafbreking moet onder medisch verantwoorde omstandigheden door een geneesheer worden verricht in een instelling voor gezondheidszorg waaraan een voorlichtingsdienst is verbonden die de zwangere vrouw opvangt en haar omstandig inlicht inzonderheid over de rechten, de bijstand en de voordelen, bij wet en decreet gewaarborgd aan de gezinnen, aan de al dan niet gehuwde moeders en hun kinderen, alsook over de mogelijkheden om het kind dat geboren zal worden, te laten adopteren; en die, op verzoek van de geneesheer of van de vrouw, haar hulp en raad geeft over de middelen waarop zij een beroep zal kunnen doen voor de oplossing van de psychologische en maatschappelijke problemen welke door haar toestand zijn ontstaan.
2º De geneesheer tot wie een vrouw zich wendt om haar zwangerschap te laten afbreken, moet :
a) de vrouw inlichten over de onmiddellijke of toekomstige medische risico's waaraan zij zich blootstelt door het afbreken van de zwangerschap;
b) de verschillende opvangmogelijkheden voor het kind dat geboren zal worden, in herinnering brengen en, in voorkomend geval, een beroep doen op het personeel van de dienst bedoeld in het 1º, b), van dit artikel om de daar bepaalde hulp en raad te geven;
c) zich vergewissen van de vaste wil van de vrouw om haar zwangerschap te laten afbreken.
De appreciatie van de geneesheer over de vaste wil en de noodsituatie van de zwangere vrouw, op basis waarvan hij aanvaardt de ingreep uit te voeren, kan niet meer worden aangevochten indien is voldaan aan de in dit artikel bepaalde voorwaarden.
3º De geneesheer kan de zwangerschapsafbreking niet eerder verrichten dan zes dagen na de eerste raadpleging en nadat de vrouw, de dag van de ingreep, schriftelijk te kennen heeft gegeven dat ze vastbesloten is de ingreep te ondergaan. Deze verklaring moet bij het medisch dossier worden gevoegd.
4º Na de termijn van twaalf weken kan de zwangerschap onder de voorwaarden bepaald onder het 1º, b), het 2º en het 3º slechts worden afgebroken, indien het voltooien van de zwangerschap een ernstig gevaar inhoudt voor de gezondheid van de vrouw of indien vaststaat dat het kind dat geboren zal worden, zal lijden aan een uiterst zware kwaal die als ongeneeslijk wordt erkend op het ogenblik van de diagnose. In dat geval moet de geneesheer tot wie de vrouw zich heeft gewend, de medewerking vragen van een tweede geneesheer, wiens advies bij het dossier moet worden gevoegd.
5º De geneesheer of een andere bevoegde persoon van de instelling voor gezondheidszorg waar de ingreep is verricht, moet aan de vrouw de nodige voorlichting verstrekken inzake contraceptiva.
6º Geen geneesheer, geen verpleger of verpleegster, geen lid van het paramedisch personeel kan gedwongen worden medewerking te verlenen aan een zwangerschapsafbreking. De geneesheer die weigert een dergelijke ingreep te verrichten, is gehouden de vrouw bij haar eerste bezoek in kennis te stellen van zijn weigering. »
Artikel 3
Artikel 351 van hetzelfde Wetboek wordt vervangen als volgt :
« Art. 351. De vrouw die opzettelijk een vruchtafdrijving laat verrichten buiten de voorwaarden gesteld in artikel 350, wordt gestraft met gevangenisstraf van een maand tot een jaar en met geldboete van vijftig frank tot tweehonderd frank. »
Artikel 4
Artikel 352 van hetzelfde Wetboek wordt vervangen als volgt :
« Art. 352. Wanneer de middelen, gebruikt met het oogmerk om vruchtafdrijving te verwekken, de dood tot gevolg hebben, wordt hij die ze met dat oogmerk heeft aangewend of aangewezen, veroordeeld tot opsluiting, indien de vrouw daarin weliswaar heeft toegestemd doch de ingreep werd verricht buiten de voorwaarden gesteld in artikel 350, en tot dwangarbeid van tien jaar tot vijftien jaar indien zij daar niet in heeft toegestemd. »
Artikel 5
Artikel 353 van hetzelfde Wetboek wordt opgeheven.
Kondigen deze wet af, bevelen dat zij met 's Lands zegel zal worden bekleed en door het Belgisch Staatsblad zal worden bekendgemaakt.
Gegeven te Brussel, 3 april 1990.
Tekst van artikel 349 in het Strafwetboek
Art. 349. Wanneer de vruchtafdrijving wordt veroorzaakt door geweld, opzettelijk gepleegd, maar zonder het oogmerk om afdrijving te verwekken, wordt de schuldige gestraft met gevangenisstraf van drie maanden tot twee jaar en met geldboete van zesentwintig frank tot driehonderd frank. Wordt het geweld gepleegd met voorbedachten rade of met kennis van de toestand van de vrouw, dan is de gevangenisstraf zes maanden tot drie jaar en de geldboete vijftig frank tot vijfhonderd frank.
2. Wet van 13 augustus 1990 betreffende de oprichting van de Evaluatiecommissie
13 Augustus 1990 — Wet houdende oprichting van een commissie voor de evaluatie van de wet van 3 april 1990 betreffende de zwangerschapsafbreking, tot wijziging van de artikelen 348, 350, 351en 352 van het Strafwetboek en tot opheffing van artikel 353 van hetzelfde Wetboek Belgisch Staatsblad van 20 oktober1990)
Boudewijn, Koning der Belgen,
Aan allen die nu zijn en hierna wezen zullen, Onze Groet.
De Kamers hebben aangenomen en Wij bekrachtigen hetgeen volgt :
Artikel 1
§ 1. Er wordt een Nationale Evaluatiecommissie inzake de toepassing van de wetgeving betreffende de zwangerschapsafbreking ingesteld.
§ 2. De Commissie bestaat uit zestien leden van wie negen vrouwen en zeven mannen. Zij worden aangewezen op grond van hun kennis en ervaring inzake de materies die tot de bevoegdheid van de Commissie behoren. Acht leden zijn geneesheer, van wie minstens vier hoogleraar in de geneeskunde aan een Belgische universiteit zijn. Vier leden zijn hoogleraar in de rechten aan een Belgische universiteit of advocaat. Vier leden komen uit kringen die belast zijn met de opvang en de begeleiding van vrouwen in een noodsituatie.
Het lidmaatschap van de Commissie is onverenigbaar met het mandaat van lid van één van de Wetgevende vergaderingen en met het mandaat van lid van de regering of van een Executieve.
De leden van de Commissie worden, met inachtneming van de taalpariteit en op grond van een pluralistische vertegenwoordiging, bij een in Ministerraad overlegd koninklijk besluit benoemd uit een dubbele lijst, voorgedragen door de Senaat, en voor een termijn van vier jaar die kan worden verlengd. De kandidaten die niet als effectieve leden zijn aangewezen, worden tot plaatsvervangende leden benoemd.
De Commissie wordt voorgezeten door een nederlandstalige en een franstalige voorzitter. Deze worden verkozen door de commissieleden van de desbetreffende taalgroep.
De Commissie stelt haar huishoudelijk reglement op.
§ 3. Ten behoeve van het Parlement stelt de Commissie, tegen 31 augustus 1992 en nadien om de twee jaar, op :
a) een statistisch verslag waarin de informatie verkregen op grond van de artikelen 2 en 3 werd verwerkt;
b) een verslag waarin de toepassing van de wet en de ontwikkelingen in de toepassing ervan worden aangegeven en geëvalueerd;
c) in voorkomend geval, aanbevelingen tot eventueel wetgevend initiatief en/of andere maatregelen die kunnen leiden tot het terugdringen van het aantal zwangerschapsafbrekingen en tot een betere begeleiding en opvang van vrouwen in een noodsituatie.
Teneinde deze opdracht te vervullen, kan de Commissie inlichtingen inwinnen bij overheden en instellingen met betrekking tot het beleid inzake gezinsplanning, verantwoord ouderschap en anticonceptie.
De door de Commissie ingewonnen inlichtingen zijn vertrouwelijk en mogen niet aan enige instantie, met inbegrip van de rechterlijke macht, worden meegedeeld.
Artikel 2
De Commissie stelt een registratieformulier op dat moet worden ingevuld door de geneesheer die een zwangerschapsafbreking uitgevoerd heeft. Daarin worden opgenomen :
1) het codenummer van de instelling voor gezondheidszorg bedoeld in artikel 350, tweede lid, 1º, van het Strafwetboek en het codenummer van de geneesheer;
2) de leeftijd, de burgerlijke staat en het aantal kinderen van de vrouw die om een zwangerschapsafbreking verzoekt;
3) de provincie of, indien de vrouw in het buitenland woont, het land waarin de woonplaats van de vrouw gelegen is;
4) de datum van het verzoek tot zwangerschapsafbreking en de datum van de uitvoering ervan;
5) een beknopte beschrijving van de door de vrouw ingeroepen noodsituatie op grond waarvan de geneesheer de zwangerschapsafbreking bedoeld in artikel 350, tweede lid, van het Strafwetboek heeft uitgevoerd. Indien de zwangerschapsafbreking wordt verricht op grond van artikel 350, tweede lid, 4º, van het Strafwetboek, vermeldt de geneesheer tevens het ernstig gevaar voor de gezondheid van de vrouw of de uiterst zware en ongeneeslijke kwaal waaraan het kind bij de geboorte zou lijden;
6) de datum waarop de betrokken vrouw door de voorlichtingsdienst werd ontvangen;
7) de vermelding van de verklaringen van de vrouw over de voorbehoedmiddelen die zij heeft gebruikt en de reden van het falen;
8) de vermelding van de methode van zwangerschapsafbreking die werd toegepast en, in voorkomend geval, van de verwikkelingen die hiervan het gevolg waren.
De geneesheer zendt dit document over aan de in artikel 1 bedoelde Evaluatiecommissie, binnen vier maanden na de uitvoering van de zwangerschapsafbreking.
Artikel 3
De Commissie stelt een document op dat als jaarlijks verslag moet worden ingevuld door de instelling voor gezondheidszorg, bedoeld in artikel 350, tweede lid, 1º, van het Strafwetboek, en haar moeten worden overgezonden ten laatste op 30 april van het jaar volgend op dat waarop de informatie betrekking heeft.
In dit verslag wordt melding gemaakt van :
— het aantal verzoeken tot zwangerschapsafbreking dat werd ingediend bij de instelling of bij de geneesheren verbonden aan de instelling;
— het aantal zwangerschapsafbrekingen dat door de aan de instelling verbonden geneesheren werd uitgevoerd op grond van artikel 350, tweede lid, van het Strafwetboek, met, in voorkomend geval, de vermelding van de in artikel 350, tweede lid, 4º, van het Strafwetboek bedoelde gevallen;
— het aantal verzoeken tot zwangerschapsafbreking dat werd afgewezen door de aan de instelling verbonden geneesheren.
Aan dit verslag wordt een verslag toegevoegd van de voorlichtingsdienst van de instelling over :
— de samenstelling en de werking van de dienst;
— de toegepaste methoden van opvang en hulp;
— het aantal raadplegingen;
— in voorkomend geval, de resultaten van de opvang en de hulp.
Artikel 4
De Evaluatiecommissie beschikt voor het opstellen van het evaluatieverslag over een beperkt administratief kader teneinde de wettelijke opdrachten naar behoren te kunnen vervullen. De formatie en het taalkader van het administratief personeel worden vastgelegd bij een in Ministerraad overlegd Koninklijk Besluit op voorstel van de minister bevoegd voor de Volksgezondheid. De Evaluatiecommissie stelt dit personeel aan dat uit de overheidsdiensten wordt gedetacheerd onder de voorwaarden die door de Koning worden bepaald.
Artikel 5
De werkingskosten en de personeelskosten van de Evaluatiecommissie evenals de vergoeding van haar leden komen ten laste van de begroting van het ministerie van Volksgezondheid.
Artikel 6
Hij die hetzij uit nalatigheid, hetzij moedwillig en nadat hij daartoe werd aangemaand, nalaat de in artikel 2 bedoelde registratiedocumenten of de in artikel 3 bedoelde jaarlijkse verslagen binnen de vastgestelde termijn aan de Evaluatiecommissie te bezorgen, wordt gestraft met gevangenisstraf van acht dagen tot één maand of met geldboete van vijftig frank tot vijfduizend frank.
Hoofdstuk VII en artikel 85 van het Strafwetboek zijn van overeenkomstige toepassing op de in deze wet bedoelde misdrijven.
Artikel 7
Een ieder die, in welke hoedanigheid ook, zijn medewerking verleent aan de toepassing van deze wet, staat daardoor in voor de geheimhouding van de gegevens die hem in de uitoefening van zijn opdracht worden toevertrouwd en die hiermee verband houden. Artikel 458 van het Strafwetboek is op hem van toepassing.
Artikel 8
Binnen zes maanden na de indiening van de eerste verslagen en, in voorkomend geval, van de aanbevelingen van de Evaluatiecommissie bedoeld in artikel 1, § 3, heeft er hierover een debat plaats in Kamer en Senaat. Die termijn van zes maanden wordt geschorst gedurende de periode dat de Wetgevende Kamers zijn ontbonden en/of dat er geen Regering is die het vertrouwen heeft van de Wetgevende Kamers.
Kondigen deze wet af, bevelen dat zij met 's Lands zegel zal worden bekleed en door het Belgisch Staatsblad zal worden bekendgemaakt.
Gegeven te Brussel, 13 augustus 1990.
(1) Gangbare opvattingen : bijvoorbeeld : één maand om de twee jaar mag men stoppen met de pil om het lichaam te « reinigen ».
(2) http://www.Eurocat-network.eu.
(3) http://www.guttmacher.org/pubs/journals/3708411.pdf : « Legal Abortion Worldwide in 2008 : Levels and Recent Trends. International Perspectives on Sexual and Reproductive Health », 2011, 37(2) : 84-94, doi : 10 1363/3708411.
(4) Nathalie Bajos : « Pourquoi le nombre d'avortements n'a-t-il pas baissé en France depuis 30 ans ? » in : Populations et sociétés, nr. 407, december 2004). Die auteur is Directrice Onderzoek bij het INSERM (Institut national de la santé et de la recherche médicale), en verantwoordelijke van het team « Genre, Santé sexuelle et reproductive », INSERM-CESP 10189, Le Kremlin-Bicètre (Parijs).
(5) Berekend door Anne Verougstraete op basis van de cijfers van de Nationale Evaluatiecommissie en Eurostat (Anne Verougstraete is arts en lid van de Nationale Evaluatiecommissie) http://epp.eurostat.ec.europa.eu/portal/page/portal/population/data/database.
(6) Ibidem.
(7) Ref : Am J Obstet Gynecol., 2012 Jan; 206(1) :37.e1-6.Epub 2011 Jul 13.