4-569/1 |
4-569/1 |
1 FÉVRIER 2008
Le présent avant-projet de loi vise à approuver la Convention relative à la collecte, au dépôt et à la réception des déchets survenant en navigation rhénane et intérieure, signée à Strasbourg le 9 septembre 1996, ainsi que ses Annexes et Appendices.
1. DÉROULEMENT DE LA PROCÉDURE
1.1. Élaboration de la Convention
En 1990, la Commission centrale pour la Navigation du Rhin (C.C.R.) a chargé un Groupe de travail d'examiner la problématique des déchets survenant à bord dans le cadre de la navigation rhénane.
Les principales conclusions de ce Groupe de travail peuvent se résumer comme suit:
— la solution pour cette problématique doit être recherchée dans un cadre international;
— des concepts de dépôt spécifiques doivent être élaborés pour les différentes catégories de déchets liquides et solides;
— toutes les parties concernées par le transport doivent coopérer et être rendues responsables conformément à l'avantage qu'elles retirent du transport par la voie d'eau;
— le financement pour le dépôt des déchets doit répondre au principe pollueur-payeur;
— le financement pour le dépôt des déchets huileux et graisseux survenant lors de l'exploitation du bâtiment doit, de préférence, s'effectuer préalablement et de manière indirecte.
Très rapidement, il est apparu que ces principes ne pouvaient être mis en œuvre que dans le cadre d'une convention internationale indépendante. Il en est résulté la mise au point de la Convention relative à la collecte, au dépôt et à la réception des déchets survenant en navigation rhénane et intérieure, appelée ci-après la Convention. Elle a été signée à Strasbourg le 9 septembre 1996 par la Belgique, l'Allemagne, la France, le Luxembourg, les Pays-Bas et la Suisse.
1.2. Développements ultérieurs
Dans la Convention, il est prévu que le financement des déchets huileux et graisseux survenant lors de l'exploitation du bâtiment s'effectue au moyen d'un système de timbres.
Vu le temps qui s'est écoulé entre la signature de la Convention et sa ratification par les différents États contractants et considérant, par ailleurs, les méthodes de travail modernes actuelles, il s'avère que le système de timbres n'est plus approprié à notre monde informatisé.
Les États contractants ont, dès lors, convenu d'instaurer un support électronique à la place des timbres et ont signé une déclaration commune concernant l'interprétation commune de la Convention à cette fin.
1.3. Caractère mixte de la Convention
Il s'agit d'un « traité mixte ». La Convention touche aussi bien les compétences fédérales que régionales. Le groupe de travail « Traités mixtes » (GTTM), organe d'avis de la Conférence interministérielle de Politique extérieure (CIPE), a reconnu le caractère mixte de la Convention en sa réunion du 14 mai 1996.
La ratification de la Convention par le Royaume de Belgique requiert son adoption par l'Autorité fédérale et les Régions.
En vue de l'application des dispositions de la Convention, une coopération entre l'État fédéral et les Régions est indispensable et l'élaboration d'un accord de coopération souhaitable.
1.4. Entrée en vigueur
Conformément à l'article 18 de la Convention, celle-ci entrera en vigueur le premier jour du deuxième mois suivant le dépôt du dernier instrument de ratification, d'acceptation ou d'approbation des États signataires.
La Suisse a déposé ses instruments de ratification la première le 16 juillet 1998, ensuite ont suivi les Pays-Bas (le 17 juillet 2000), le Luxembourg (le 14 mai 2002), l'Allemagne (le 10 mars 2004) et la France (le 15 septembre 2005).
La Belgique est, dès lors, le dernier État signataire à ratifier la Convention et détient donc la clé de son entrée en vigueur.
2. CONTENU ET PORTÉE DE LA CONVENTION
La Convention a pour objectifs d'instaurer un système harmonisé au plan international en vue d'empêcher la pollution des voies d'eau par la navigation intérieure, de mettre en pratique le principe du « pollueur-payeur », de contribuer de cette manière à l'image écologique de la navigation intérieure et d'y parvenir tout en évitant des distorsions de concurrence entre les flottes de navigation intérieure des différents États contractants.
Outre le texte principal, cette Convention comporte deux annexes.
L'Annexe 1 désigne de façon précise les voies d'eau sur lesquelles s'applique la Convention. Pour la Belgique, il s'agit de l'ensemble des eaux accessibles à la navigation intérieure.
L'Annexe 2 se définit comme un règlement d'application et vise à concrétiser diverses dispositions de la Convention. Elle comporte cinq Appendices.
Les Annexes et les Appendices font partie intégrante de la Convention. En raison de leur contenu, il convient toutefois de les considérer comme étant de nature exécutive.
Comme déjà mentionné, la Convention ne fixe que les principes de base. Les modalités pratiques sont réglées dans l'Annexe 2 « Règlement d'application » qui comporte trois parties correspondant aux trois types de déchets survenant à bord et sur lesquels la Convention est d'application.
La partie A concerne les déchets huileux et graisseux survenant lors de l'exploitation du bâtiment. La mise en œuvre de cette partie du règlement d'application réclame le maximum d'harmonisation au niveau international. Pour le dépôt de ce type de déchets, il est prévu d'élaborer un système de financement indirect international. Dès l'entrée en vigueur de la Convention, le conducteur devra payer à l'avance une rétribution d'élimination lors de tout achat de gazole; le conducteur obtient ainsi le droit de déposer gratuitement des déchets huileux et graisseux dans une station de réception agréée à cet effet. Pour l'exécution sur le plan financier, chaque État contractant doit créer une « institution nationale » chargée de récolter la rétribution d'élimination. Une péréquation financière devra alors avoir lieu périodiquement entre les différentes institutions nationales afin de pouvoir garantir dans chaque État contractant un équilibre entre les recettes et les dépenses.
La partie B du règlement d'application concerne les déchets liés à la cargaison (y compris la cargaison restante et les résidus de manutention). Afin de réduire les flux de déchets de la cargaison, le chargement et le déchargement sont soumis à des exigences très strictes. L'objectif est d'essayer de faire le maximum pour adjoindre à la cargaison les éventuelles cargaisons restantes demeurant dans les cales en utilisant des techniques de déchargement appropriées.
La partie C concerne les autres déchets survenant lors de l'exploitation du bâtiment, dont notamment les eaux usées domestiques, les ordures ménagères et les autres déchets spéciaux. La Convention a pour ambition qu'un nombre suffisant de stations de réception pour ce type de déchets soit mis à disposition.
3. DISCUSSION ARTICLE PAR ARTICLE
Dans ce commentaire, il est fait référence, pour chaque disposition de la Convention, à la disposition correspondante de l'Annexe 2 de la Convention, c'est-à-dire au « Règlement d'application ».
4. DISPOSITIONS GÉNÉRALES
Article 1er: Définitions
L'article 1er reprend les définitions des termes suivants: déchets survenant à bord, déchets survenant lors de l'exploitation du bâtiment, déchets huileux et graisseux survenant lors de l'exploitation du bâtiment, eau de fond de cale, autres déchets survenant lors de l'exploitation du bâtiment, déchets liés à la cargaison, bâtiment, bateau à passagers, navire de mer, station de réception, conducteur, bâtiment motorisé, gazole, station d'avitaillement, exploitant de l'installation de manutention, affréteur, exploitant du bâtiment, destinataire de la cargaison.
Des définitions figurent également dans les articles 5.01 et 8.01 de l'Annexe 2.
Article 2: Champ d'application géographique
L'Annexe 1 de la Convention reprend toutes les voies d'eau qui tombent sous le champ d'application de la Convention. Pour la Belgique, il s'agit de l'ensemble des eaux accessibles à la navigation intérieure.
5. OBLIGATIONS À CHARGE DES ÉTATS
Article 3: Interdiction de déversement et de rejet
Cet article prévoit l'interdiction de jeter, de déverser ou de laisser s'écouler à partir des bâtiments, dans les voies d'eau tombant sous le champ d'application de la Convention, les déchets survenant à bord ainsi que des parties de cargaison. Les États contractants doivent veiller à faire respecter cette interdiction.
Les exceptions à cette interdiction ne sont autorisées que conformément aux dispositions de l'Annexe 2 de la Convention et de ses Appendices.
Les exceptions suivantes sont prévues:
Partie A. Déchets huileux et graisseux survenant lors de l'exploitation du bâtiment (art. 2.01§ 3):
Sous certaines conditions, le déversement d'eaux séparées par les bateaux déshuileurs est autorisé.
La teneur maximale d'huile résiduaire à la sortie doit continuellement et sans dilution préalable être conforme aux prescriptions nationales.
Partie B. Déchets liés à la cargaison (art. 6.01§ 2)
Sous certaines conditions, les eaux de lavage comportant des résidus de cargaison de marchandises énumérées dans l'Appendice III peuvent être déversées à condition que les dispositions dudit appendice aient été respectées.
L'eau de lavage est l'eau survenant lors du lavage des cales balayées ou aspirées ou des citernes asséchées. En font partie également l'eau de ballastage et l'eau de précipitation provenant de ces cales ou citernes.
La liste des marchandises définit, par type de cargaison, la manière dont l'eau de lavage doit être traitée. La cale doit être déchargée des restes de la façon prescrite dans la liste des marchandises (selon la marchandise transportée, la cale doit être balayée, aspirée ou asséchée). Dans tous les autres cas, l'eau de lavage doit être déposée auprès d'une installation de manutention disposant de suffisamment de possibilités de réception et de traitement ou auprès d'une station de réception agréée.
Pendant un délai transitoire de 5 ans après l'entrée en vigueur de la Convention, il suffit de remettre le bâtiment dans l'état balayé, là où la liste de marchandises prescrit l'état aspiré dans le cas de cargaisons sèches et là où les systèmes d'assèchement existants doivent être utilisés dans le cas de cargaisons liquides. Durant la même période transitoire, le rejet des eaux de lavage dans l'eau de surface est encore autorisé au lieu du déversement dans le réseau d'assainissement. Les États ont toutefois la possibilité de prescrire, sur tout ou partie de leur territoire, l'application des dispositions conformément à la liste de marchandises déjà avant la fin de la période transitoire si les équipements nécessaires sont disponibles.
Partie C. Autres déchets survenant lors de l'exploitation du bâtiment (art. 9.01§ 3)
Le déversement des eaux usées domestiques est autorisé sauf pour les bateaux à passagers à cabines pourvus de plus 50 emplacements de couchage et pour les autres bateaux admis au transport de plus de 50 passagers. Une période transitoire est toutefois prévue dans les deux cas.
Les bateaux à passagers qui disposent d'une station d'épuration de bord respectant les valeurs limites et de contrôle mentionnées à l'Appendice V peuvent également déverser leurs eaux usées domestiques.
En outre, il existe encore d'autres possibilités de dérogation lorsque l'interdiction de déversement est difficilement réalisable dans la pratique ou entraînerait des dépenses déraisonnables.
Article 4: Stations de réception
Les États contractants ont l'obligation d'installer ou de faire installer un réseau suffisamment dense de stations de réception pour les trois catégories précitées de déchets survenant à bord.
Les stations de réception sont tenues de recueillir les déchets survenant à bord selon les modalités fixées par le règlement d'application.
Des dispositions transitoires sont prévues pour l'aménagement de stations de réception pour les autres déchets survenant lors de l'exploitation du bâtiment (Partie C de l'Annexe 2):
— pour les ordures ménagères: des stations de réception doivent d'ores et déjà être installées lors de l'entrée en vigueur de la Convention;
— pour les autres déchets spéciaux et les slops: un délai de cinq ans après l'entrée en vigueur de la Convention est prévu;
— pour le déversement des eaux usées domestiques des bateaux à passagers: l'introduction graduelle de l'interdiction de déversement est liée à la date d'installation des stations de réception. Les eaux usées domestiques du voyage précédent peuvent encore être déversées librement en raison de la nature et de la quantité des déchets.
Article 5: Base de financement
Conformément à l'article 5, les États contractants doivent introduire des modalités uniformes de financement pour la réception et l'élimination des déchets survenant à bord.
Article 6: Réception et élimination des déchets huileux et graisseux survenant lors de l'exploitation du bâtiment
Un système de financement indirect a été prévu pour le paiement des coûts de collecte et d'élimination d'une forme notable de déchets survenant lors de l'exploitation du bâtiment, en l'occurrence les déchets huileux et graisseux. Le financement est assuré par une rétribution d'élimination prélevée sur les bâtiments motorisés qui utilisent du gazole, à l'exclusion des navires de mer.
Le montant de la rétribution est identique dans tous les États et est fixé sur la base des coûts de la réception et de l'élimination, déduction faite des éventuelles recettes générées par le recyclage des déchets huileux et graisseux survenant lors de l'exploitation du bâtiment, et de la quantité de gazole livrée (Partie A du règlement d'application). Le tarif de la rétribution d'élimination est défini annuellement. Le paiement de la rétribution d'élimination ouvre le droit au dépôt de déchets huileux et graisseux survenant lors de l'exploitation du bâtiment dans les stations de réception désignées par les institutions nationales. Les États s'assurent que les conducteurs et les stations d'avitaillement remplissent les obligations qui leur incombent, en particulier lors de chaque livraison de gazole.
L'article 3.01 de la Partie A de l'Annexe 2 fixe le montant de la rétribution pour la première année à 7,5 euros pour 1 000 litres de gazole.
Article 7: Réception et élimination des autres déchets survenant lors de l'exploitation du bâtiment
Cet article prévoit des prescriptions spécifiques distinctes pour le financement de la collecte et de l'élimination des différentes sous-catégories d'autres déchets survenant lors de l'exploitation du bâtiment.
La réception et l'élimination des ordures ménagères dans les ports, aux installations de manutention ainsi qu'aux aires de stationnement ne peuvent pas faire l'objet d'une perception de droits spécifiques. Ils sont considérés comme inclus dans les droits portuaires ou de stationnement ou couverts par d'autres sources de revenus des ports.
En ce qui concerne la réception et l'élimination d'autres déchets spéciaux, la Convention offre la possibilité d'un financement indirect via les droits portuaires ou de stationnement ou via un autre système avec comme condition préalable l'exigence d'une coordination entre les États contractants.
Pour les bateaux à passagers, les coûts de la réception et de l'élimination des eaux usées domestiques et des boues de curage ainsi que des ordures ménagères et autres déchets spéciaux peuvent être imputés à part au conducteur.
Les coûts de la réception et de l'élimination des slops peuvent également être imputés à part au conducteur.
Article 8: Déchargement des restes, lavage ainsi que réception et élimination des déchets liés à la cargaison
Les coûts occasionnés par le déchargement des restes et le lavage du bâtiment ainsi que par la réception et l'élimination des déchets liés à la cargaison sont pris en charge par l'affréteur (cargaison liquide) ou par le destinataire de la cargaison (cargaison sèche).
Les modalités sont définies dans la partie B, article 7.06 de l'Annexe 2.
Si, avant le chargement, le bâtiment n'est pas conforme au standard de déchargement requis et si l'affréteur ou le destinataire de la cargaison concerné par le transport qui précédait a rempli ses obligations, l'exploitant du bâtiment supporte les coûts occasionnés par le déchargement des restes et le lavage du bâtiment et par la réception et l'élimination des déchets liés à la cargaison.
Article 9: Institution nationale
Pour l'organisation du système de financement pour la réception et l'élimination des déchets huileux et graisseux survenant lors de l'exploitation du bâtiment, chaque État doit désigner une institution nationale (IN). L'institution nationale doit comprendre des représentants de la navigation intérieure.
En Belgique, l'institution nationale sera désignée dans l'accord de coopération qui sera conclu entre l'Autorité fédérale et les Régions en vue de l'exécution de cette Convention.
Un premier projet d'accord de coopération a d'ores et déjà été élaboré par un groupe de travail qui est composé de représentants tant des différentes administrations que des cellules politiques.
Dans ce projet, il est proposé de désigner l'Institut pour le Transport par Batellerie (I.T.B.) comme institution nationale. Il y est aussi prévu que les frais de fonctionnement et d'administration que l'ITB devra supporter en conséquence de l'exécution de sa mission d'institution nationale seront pris en charge par les Régions conformément à la clé de répartition fixée dans l'accord de coopération.
Les tâches de l'IN ne sont définies que globalement dans l'article 9, mais développées de façon concrète dans les articles 3.01 à 3.03 de l'Annexe 2.
Article 10: Péréquation financière internationale — Instance Internationale de Péréquation et de Coordination
Comme pour chaque État contractant, les recettes issues des rétributions d'élimination ne correspondront pas aux coûts de réception et d'élimination découlant des contrats conclus avec les stations de réception, une péréquation internationale des coûts et des recettes issus de ce système s'imposait. Pour réaliser cette péréquation internationale, il est créé une Instance Internationale de Péréquation et de Coordination (IIPC), composée de représentants des institutions nationales. L'IIPC évalue en outre le système de financement, le montant de la rétribution d'élimination et l'adaptation du réseau de stations de réception aux besoins de la navigation et à l'efficience de l'élimination. La réglementation y afférente sera définie dans l'accord de coopération entre l'autorité fédérale et les régions.
Les articles 4.01 à 4.04 de l'Annexe 2 déterminent les modalités de la péréquation financière internationale.
6. OBLIGATIONS ET DROITS DES CONCERNÉS
Article 11: Devoir général de vigilance
Le devoir général de vigilance est repris dans cet article. Il comporte les trois aspects suivants:
— éviter la pollution des voies d'eau;
— éviter ou limiter la quantité de déchets;
— éviter tout mélange de différentes catégories de déchets.
Article 12: Obligations et droits du conducteur
Le conducteur peut déposer les déchets survenant à bord auprès des stations de réception dans chacun des États contractants dans les conditions prévues dans le règlement d'application. Le conducteur est tenu de respecter les obligations et interdictions prévues dans l'Annexe 2.
Partie A. Déchets huileux et graisseux survenant lors de l'exploitation du bâtiment (art. 2.01 à 2.03)
Cette partie comporte des obligations pour le conducteur en matière de collecte et de traitement à bord ou de dépôt de tels déchets. Ainsi, chaque bâtiment motorisé qui utilise du gazole doit avoir à son bord un carnet de contrôle des huiles usagées valable (voir Appendice I: modèle de carnet de contrôle des huiles usagées). Les déchets huileux et graisseux survenant lors de l'exploitation du bâtiment doivent être déposés, contre justificatifs, à intervalles réguliers dans les stations de réception.
Partie B. Déchets liés à la cargaison (art. 6.01 à 6.03)
Cette partie définit des obligations en matière de chargement et de déchargement de bâtiments.
Tout bâtiment qui a été déchargé en un point situé dans le champ d'application de la Convention doit avoir à son bord une attestation de déchargement valable (voir Appendice IV: modèle d'attestation de déchargement).
Lors du déchargement des restes ainsi que du dépôt et de la réception des déchets liés à la cargaison, les standards de déchargement et les prescriptions de l'Appendice III relatives au dépôt et à la réception sont applicables (voir Appendice III: Standards de déchargement et prescriptions relatives au dépôt et à la réception en vue de l'autorisation du déversement des eaux de lavage, de précipitation et de ballastage contenant des résidus de cargaison).
Après le chargement, le bâtiment ne peut poursuivre son voyage que lorsque le conducteur se sera assuré que les résidus de manutention ont été enlevés.
Le bâtiment ne peut poursuivre son voyage après le déchargement que lorsque le conducteur aura confirmé dans l'attestation de déchargement que la cargaison restante ainsi que les résidus de manutention ont été pris en charge.
Lorsque les cales ou citernes sont lavées et que les eaux de lavage ne peuvent pas être déversées dans la voie d'eau, le bâtiment ne peut poursuivre son voyage que lorsque le conducteur aura confirmé dans l'attestation de déchargement que les eaux de lavage ont été prises en dépôt ou qu'une station de réception lui a été désignée.
Partie C. Autres déchets survenant de l'exploitation du bâtiment (art. 9.01 à 9.03)
Ici, le conducteur est obligé de collecter et de déposer séparément les ordures ménagères, les slops, les boues de curage et les autres déchets spéciaux.
À défaut de responsabilité du conducteur, l'exploitant du bâtiment, son armateur ou son propriétaire sont dans cet ordre responsables de l'observation des obligations prévues par la Convention.
Article 13: Obligations de l'exploitant du bâtiment, de l'affréteur et du destinataire de la cargaison ainsi que des exploitants d'installations de manutention et de stations de réception
L'exploitant du bâtiment, l'affréteur, le destinataire de la cargaison ainsi que les exploitants d'installations de manutention et de stations de réception sont tenus de se conformer aux obligations qui leurs sont imposées dans le règlement d'application de l'Annexe 2.
Le destinataire de la cargaison est tenu d'accepter les cargaisons restantes, les résidus de manutention et les déchets liés à la cargaison. Il peut mandater un tiers pour cette tâche.
Partie A. Déchets huileux et graisseux survenant lors de l'exploitation du bâtiment (art. 1,01)
Il y est prévu que les exploitants des stations de réception doivent attester au bâtiment le dépôt de déchets huileux et graisseux survenant lors de l'exploitation du bâtiment dans le carnet de contrôle des huiles usagées (voir modèle de l'Appendice I).
Partie B. Déchets liés à la cargaison (art. 7.01 à 7.09)
Dans l'attestation de déchargement, le destinataire de la cargaison atteste le déchargement de la cargaison, le déchargement des restes, la réception des déchets liés à la cargaison ou la désignation d'une station de réception et, dans la mesure où il lui incombe, également le lavage.
Si le destinataire de la cargaison ne recueille pas lui-même les eaux de lavage qui ne peuvent pas être déversées dans la voie d'eau, l'exploitant de la station de réception atteste au bâtiment la réception des eaux de lavage.
Par ailleurs, le règlement d'application définit des obligations en matière de chargement et de déchargement de bâtiments, de mise à disposition et de restitution du bâtiment (voir aussi Appendice II: Exigences pour les systèmes d'assèchement). Ainsi, des obligations en matière de balayage, d'aspiration, d'assèchement voire, dans certains cas, de lavage de la cale sont imposées aux personnes concernées par le transport. Dans ce dernier cas de lavage de la cale, des obligations relatives au dépôt de l'eau de lavage qui en résulte sont également imposées.
L'essentiel des obligations du règlement d'application repose sur le destinataire pour les cargaisons sèches et sur l'expéditeur pour les cargaisons liquides. L'affréteur et le destinataire de la cargaison peuvent aussi convenir entre eux d'une répartition de leurs obligations différente de celle prévue dans le règlement d'application pour autant que cela n'ait pas de conséquences pour l'exploitant du bâtiment. Lorsque l'affréteur ou le destinataire de la cargaison fait appel aux services d'une installation de manutention pour le chargement ou pour le déchargement d'un bâtiment, l'exploitant de cette installation est subrogé dans un certain nombre de leurs droits et obligations.
Partie C. Autres déchets survenant de l'exploitation du bâtiment (art. 10,01)
L'exploitant de la station de réception doit attester au conducteur le dépôt des slops conformément aux prescriptions nationales.
7. CONFÉRENCE DES PARTIES CONTRACTANTES
Les articles 14 et 15 règlent le fonctionnement de la Conférence des Parties contractantes chargée du contrôle de l'application des dispositions de la Convention.
8. SANCTIONS
L'article 16 détermine que les États contractants répriment conformément à leurs dispositions nationales respectives les infractions, commises sur leur territoire, aux obligations et interdictions stipulées dans la Convention et son règlement d'application.
9. CLAUSES FINALES
Les articles 17 à 21 règlent la signature, la ratification, l'adhésion, l'entrée en vigueur, la dénonciation et les amendements de la Convention.
En date du 7 février 2008 le Conseil d'État a donné son avis sur l'avant-projet de loi (Avis nº 44.080/3). Suite à l'avis du Conseil d'État le paragraphe 2 de l'article 2 du projet de loi a été complété.
Le ministre des Affaires étrangères,
Karel DE GUCHT.
Le ministre de la Mobilité,
Yves LETERME.
Roi des Belges,
À tous, présents et à venir,
Salut.
Sur la proposition de Notre ministre des Affaires étrangères et de Notre ministre de la Mobilité,
Nous avons arrêté et arrêtons:
Notre ministre des Affaires étrangères et Notre ministre de la Mobilité sont chargés de présenter, en Notre nom, aux Chambres législatives et de déposer au Sénat le projet de loi dont la teneur suit:
Article 1er
La présente loi règle une matière visée à l'article 77 de la Constitution.
Art. 2
La Convention relative à la collecte, au dépôt et à la réception des déchets survenant en navigation rhénane et intérieure, les Annexes 1 et 2, et les Appendices i, ii, iii, iv et v, faits à Strasbourg le 9 septembre 1996, sortiront leur plein et entier effet.
Les Amendements aux Annexes et aux Appendices i, ii, iii, iv et v de la Convention qui seront adoptés en application de l'article 19 de la Convention sans que la Belgique s'oppose à leur adoption, sortiront leur plein et entier effet.
Donné à
ALBERT
Par le Roi:
Le ministre des Affaires étrangères,
Karel DE GUCHT.
Le ministre de la Mobilité,
Yves LETERME.
CONVENTION
relative à la collecte, au dépôt et à la reception des déchets survenant en navigation rhénane et intérieure
La République fédérale d'Allemagne,
Le Royaume de Belgique,
La République française,
Le Grand Duché de Luxembourg,
Le Royaume des Pays-Bas,
La Confédération suisse,
considérant que la prévention ainsi que la collecte, le dépôt et la réception des déchets en vue de leur recyclage et leur élimination pour des raisons de protection de l'environnement ainsi que de sécurité et de bien-être des personnels et des usagers de la navigation constituent un impératif pour la navigation intérieure et pour les branches de l'économie qui y sont liées et que celles-ci souhaitent apporter une plus grande contribution en la matière,
convaincus qu'il importe à cet effet de mettre en œuvre des réglementations uniformes coordonnées sur le plan international afin d'éviter des distorsions de concurrence,
convaincus en outre que la collecte, le dépôt, la réception et l'élimination des déchets survenant à bord devraient être financés en tenant compte du principe pollueur-payeur,
constatant en particulier que la perception d'une rétribution pour la réception et l'élimination des déchets huileux et graisseux survenant lors de l'exploitation du bâtiment, fixée uniformément sur le plan international et basée sur le volume de gazole vendu à la navigation intérieure, n'affecte pas le principe d'exemption des droits de douane et autres taxes dans les États riverains du Rhin et en Belgique, tel que précisé dans l'Accord du 16 mai 1952 relatif au régime douanier et fiscal du gasoil consommé comme avitaillement de bord dans la navigation rhénane,
exprimant le souhait que d'autres États dont les voies de navigation intérieure sont reliées à celles des États contractants adhèrent à la présente Convention,
sont convenus de ce qui suit:
Dispositions générales
Article 1
Définitions
Aux fins de l'application de la présente Convention les termes suivants désignent:
a) « déchets survenant à bord »: matières ou objets définis aux lettres b) à f) ci-dessous et dont le détenteur se défait ou dont il a l'intention ou l'obligation de se défaire;
b) « déchets survenant lors de l'exploitation du bâtiment »: déchets et eaux usées survenant à bord du fait de l'exploitation et de l'entretien du bâtiment; en font partie les déchets huileux et graisseux et les autres déchets survenant lors de l'exploitation du bâtiment;
c) « déchets huileux et graisseux survenant lors de l'exploitation du bâtiment »: huiles usagées, eaux de fond de cale et autres déchets huileux ou graisseux, tels que graisses usagées, filtres usagés, chiffons usagés, récipients et emballages de ces déchets;
d) « eau de fond de cale »: eau huileuse provenant des fonds de cale de la salle des machines, du pic, des cofferdams et des compartiments latéraux;
e) « autres déchets survenant lors de l'exploitation du bâtiment »: eaux usées domestiques, ordures ménagères, boues de curage, slops et autres déchets spéciaux tels que définis dans le règlement d'application, Partie C;
f) « déchets liés à la cargaison »:déchets et eaux usées survenant à bord du bâtiment du fait de la cargaison; n'en font pas partie la cargaison restante et les résidus de manutention tels que définis dans le règlement d'application, Partie B;
g) « bâtiment »: bateau de navigation intérieure, navire de mer ou engin flottant;
h) « bateau à passagers »: un bateau construit et aménagé pour le transport de passagers;
i) « navire de mer »: bateau admis à la navigation maritime ou côtière et affecté à titre principal à cette navigation;
j) « station de réception »: bâtiment ou installation à terre agréé par les autorités compétentes pour recueillir les déchets survenant à bord;
k) « conducteur »: personne qui assure la conduite du bâtiment;
l) « bâtiment motorisé »: bâtiment dont les moteurs principaux ou auxiliaires, à l'exclusion des moteurs des guindeaux d'ancres, sont des moteurs à combustion interne;
m) « gazole »: carburant exempté de droits de douane et d'autres droits et destiné aux bateaux de navigation intérieure;
n) « station d'avitaillement »: station où les bâtiments s'approvisionnent en gazole;
o) « exploitant de l'installation de manutention »: personne effectuant à titre professionnel le chargement ou le déchargement de bâtiments;
p) « affréteur »: personne ayant donné l'ordre de transport;
q) « exploitant du bâtiment »: personne qui, à titre professionnel, prend en charge l'exécution du transport de marchandises;
r) « destinataire de la cargaison »: personne habilitée à prendre livraison de la cargaison.
Article 2
Champ d'application géographique
La présente Convention s'applique sur les voies d'eau visées à l'annexe 1.
Dispositions particulières
Obligations à charge des États
Article 3
Interdiction de déversement et de rejet
(1) Il est interdit de jeter, de déverser ou de laisser s'écouler à partir des bâtiments, dans les voies d'eau visées à l'annexe 1, les déchets survenant à bord ainsi que des parties de cargaison.
(2) Les États contractants veillent à faire respecter l'interdiction visée au paragraphe 1 du présent article.
(3) Les exceptions à cette interdiction ne sont autorisées que conformément aux dispositions de l'annexe 2 et de ses appendices appelée ci-dessous « Règlement d'application ».
Article 4
Stations de réception
(1) Les États contractants s'engagent à installer ou à faire installer sur les voies d'eau visées à l'annexe 1 un réseau suffisamment dense de stations de réception et à le coordonner sur le plan international.
(2) Les États contractants introduisent, conformément au règlement d'application, une procédure uniforme en vue de la collecte et du dépôt des déchets survenant à bord auprès des stations de réception. Cette procédure implique pour les déchets visés à l'article premier, lettres c), d) et f) la production d'une attestation de dépôt réglementaire de ces déchets. Le dépôt réglementaire de slops et de boues de curage tels que définis dans le règlement d'application, Partie C, doit être attesté sur la base de dispositions nationales.
(3) Les stations de réception sont tenues de recueillir, selon les modalités fixées par le règlement d'application, les déchets survenant à bord.
(4) Les États contractants veillent au respect par les stations de réception, conformément aux dispositions nationales, de l'obligation de recueillir les déchets survenant à bord.
Article 5
Principe du financement
Les États contractants introduisent des modalités uniformes de financement pour la réception et l'élimination des déchets survenant à bord.
Article 6
Financement de la réception et de l'élimination des déchets huileux et graisseux survenant lors de l'exploitation du bâtiment
(1) Le financement de la réception et de l'élimination des déchets huileux et graisseux survenant lors de l'exploitation des bâtiments est assuré par une rétribution d'élimination prélevée sur les bâtiments motorisés qui utilisent du gazole, à l'exclusion des navires de mer. Le montant de la rétribution est identique dans tous les États contractants. Il est fixé selon la procédure définie dans le règlement d'application, Partie A, sur la base de la somme des coûts de la réception et de l'élimination, déduction faite des éventuelles recettes générées par le recyclage des déchets huileux et graisseux survenant lors de l'exploitation du bâtiment, et de la quantité de gazole livrée. Il est adapté à l'évolution des coûts. En vue de promouvoir la réduction des déchets, des critères devront être établis et pris en considération lors de la fixation du montant de la rétribution d'élimination.
Les rétributions d'élimination versées seront exclusivement affectées au financement de la réception et de l'élimination des déchets huileux et graisseux survenant lors de l'exploitation des bâtiments.
(2) La procédure visée au paragraphe 1 ci-dessus sera réexaminée si nécessaire à la lumière de l'expérience acquise lors du fonctionnement du système.
(3) Le droit au dépôt de déchets huileux et graisseux survenant lors de l'exploitation du bâtiment dans les stations de réception désignées par les institutions nationales est ouvert dès le paiement de la rétribution d'élimination.
(4) Les États contractants s'assurent que les conducteurs et les stations d'avitaillement remplissent, notamment lors de chaque livraison de gazole, les obligations leur incombant en vertu du règlement d'application, Partie A.
Article 7
Financement de la réception et de l'élimination des autres déchets survenant lors de l'exploitation du bateau
(1) Dans les ports, aux installations de manutention ainsi qu'aux aires de stationnement et écluses, la réception et l'élimination des ordures ménagères ne font pas l'objet d'une perception de droits spécifiques.
(2) En ce qui concerne la réception et l'élimination d'autres déchets spéciaux, les États contractants prendront des dispositions concertées relatives à un système de financement prévoyant que les coûts de la réception et de l'élimination de ces déchets sont inclus dans les droits portuaires ou de stationnement, ou imputés d'une autre manière au bâtiment, indépendamment du fait que ce dernier dépose ou ne dépose pas lesdits déchets.
(3) Pour les bateaux à passagers, les coûts de la réception et de l'élimination des eaux usées domestiques et des boues de curage ainsi que des ordures ménagères et autres déchets spéciaux peuvent être imputés à part au conducteur.
(4) Les coûts de la réception et de l'élimination des slops peuvent être imputés à part au conducteur.
Article 8
Financement du déchargement des restes, du lavage ainsi que de la réception et de l'élimination des déchets liés à la cargaison
(1) L'affréteur ou le destinataire de la cargaison prend en charge les frais occasionnés par le déchargement des restes et le lavage du bâtiment ainsi que par la réception et l'élimination des déchets liés à la cargaison conformément au règlement d'application, Partie B.
(2) Si avant le chargement le bâtiment n'est pas conforme au standard de déchargement requis et si l'affréteur ou le destinataire de la cargaison concerné par le transport qui précédait a rempli ses obligations, l'exploitant du bâtiment supporte les frais occasionnés par le déchargement des restes et le lavage du bâtiment et par la réception et l'élimination des déchets liés à la cargaison.
Article 9
Institution nationale
(1) Chaque État contractant désigne l'institution nationale responsable de l'organisation du système de financement uniforme de la réception et de l'élimination de déchets huileux et graisseux survenant lors de l'exploitation du bâtiment dans les conditions déterminées au règlement d'application, Partie A.
(2) La composition ainsi que les modalités de l'organisation et du fonctionnement de l'institution nationale sont fixées par des dispositions nationales prises par les États contractants. L'institution nationale doit comprendre des représentants de la navigation intérieure.
(3) Les frais de fonctionnement et d'administration de chaque institution nationale sont à la charge de chacun des États contractants.
Article 10
Péréquation financière internationale — Instance internationale de péréquation et de coordination
(1) La péréquation financière internationale est assurée conformément aux dispositions de la présente Convention et de son règlement d'application, Partie A.
(2) Il est créé une instance internationale de péréquation et de coordination. Elle est chargée notamment des tâches suivantes:
a) assurer la péréquation financière entre les institutions nationales pour la réception et l'élimination des déchets huileux et graisseux survenant lors de l'exploitation du bâtiment selon les modalités fixées par elle sur la base des dispositions du règlement d'application, Partie A;
b) examiner dans quelle mesure le réseau des stations de réception en place doit être adapté compte tenu des besoins de la navigation et de l'efficience de l'élimination;
c) procéder à une évaluation annuelle du système de financement de la réception et de l'élimination des déchets huileux et graisseux survenant lors de l'exploitation du bâtiment conformément à l'article 6, sur la base des enseignements tirés de la pratique;
d) faire des propositions pour l'adaptation du montant de la rétribution d'élimination à l'évolution des coûts;
e) faire des propositions pour tenir compte, sur le plan financier, de mesures techniques destinées à réduire les déchets.
Elle est composée de deux représentants de chaque institution nationale dont un représentant de la profession de la navigation intérieure nationale.
(3) L'instance internationale de péréquation et de coordination établit à l'unanimité son règlement intérieur qui détermine les modalités de la péréquation financière internationale.
(4) L'organisation de l'instance internationale de péréquation et de coordination est fixée dans le règlement d'application, Partie A.
(5) Le secrétariat de l'instance internationale de péréquation et de coordination est assuré par le Secrétariat de la Commission Centrale pour la Navigation du Rhin.
(6) Les frais de l'instance internationale de péréquation et de coordination sont prévus à l'avance pour l'année suivante dans un budget prévisionnel auquel les États contractants contribuent à parts égales.
Obligations et droits des concernés
Article 11
Devoir général de vigilance
Le conducteur, les autres membres d'équipage, les autres personnes se trouvant à bord, l'affréteur, l'exploitant du bâtiment, le destinataire de la cargaison, les exploitants des installations de manutention ainsi que les exploitants des stations de réception sont tenus de montrer toute la vigilance que commandent les circonstances, afin d'éviter la pollution de la voie d'eau, de limiter au maximum la quantité de déchets survenant à bord et d'éviter autant que possible tout mélange de différentes catégories de déchets.
Article 12
Obligations et droits du conducteur
(1) Le conducteur peut déposer les déchets survenant à bord auprès des stations de réception dans chacun des États contractants dans les conditions prévues par le règlement d'application.
(2) Le conducteur est tenu de respecter les obligations prévues dans le règlement d'application. En particulier, il devra se conformer à l'interdiction qui lui est faite, sauf exceptions prévues dans le règlement d'application, de jeter, de déverser ou de laisser s'écouler dans la voie d'eau à partir du bâtiment tous déchets survenant à bord ainsi que des parties de cargaison.
(3) À défaut de responsabilité du conducteur, l'exploitant du bâtiment, son armateur ou son propriétaire sont dans cet ordre responsables de l'observation des obligations prévues par la présente Convention.
Article 13
Obligations de l'exploitant du bâtiment, de l'affréteur et du destinataire de la cargaison ainsi que des exploitants d'installations de manutention et de stations de réception
(1) L'exploitant du bâtiment, l'affréteur, le destinataire de la cargaison ainsi que les exploitants d'installations de manutention ou de stations de réception sont tenus de se conformer aux obligations qui leur sont imposées, chacun pour ce qui le concerne, dans les conditions déterminées par le règlement d'application.
(2) Le destinataire de la cargaison est tenu d'accepter les cargaisons restantes, les résidus de manutention et les déchets liés à la cargaison. Il peut mandater un tiers pour cette tâche.
Conférence des Parties contractantes
Article 14
Organisation et compétences
(1) Les Parties contractantes instituent une Conférence des Parties contractantes chargée du contrôle de l'application des dispositions de la présente Convention.
Cette Conférence se réunit annuellement. Elle peut être convoquée en session extraordinaire à la demande d'au moins deux Parties contractantes.
(2) La Conférence examine et décide des amendements à apporter à la présente Convention et à ses annexes selon la procédure définie à l'article 19.
(3) La Conférence adopte, sur proposition de l'instance internationale de péréquation et de coordination,
a) la péréquation financière annuelle,
b) la fixation du montant de la rétribution d'élimination pour l'année suivante selon la procédure fixée à l'article 6 de la présente Convention,
c) les modifications de la procédure de péréquation financière provisoire et annuelle,
d) les réductions du montant de la rétribution suite aux mesures techniques prises à bord des bâtiments en vue de réduire la production de déchets.
La Conférence recommande aux États contractants, sur proposition de l'instance internationale de péréquation et de coordination, l'adaptation du réseau de stations de réception.
(4) La Conférence tranche les différends concernant l'interprétation et l'application de la présente Convention ainsi que les différends s'élevant à l'intérieur de l'instance internationale de péréquation et de coordination sans que cela puisse avoir pour conséquence de suspendre la péréquation financière provisoire en cours.
(5) La Conférence établit son règlement intérieur à l'unanimité.
(6) La Conférence fixe à l'avance pour l'année suivante son budget prévisionnel auquel les États contractants contribuent à parts égales.
Article 15
Secrétariat
Aux fins de la présente Convention, le Secrétariat de la Conférence des Parties contractantes est assuré par le Secrétariat de la Commission Centrale pour la Navigation du Rhin.
Sanctions
Article 16
Sanctions
Les États contractants répriment les infractions, commises sur leur territoire, aux obligations et interdictions stipulées dans la présente Convention et son règlement d'application, conformément à leurs dispositions nationales respectives.
Clauses finales
Article 17
Signature, ratification et adhésion
(1) La présente Convention est ouverte à la signature de la République fédérale d'Allemagne, du Royaume de Belgique, de la République française, du Grand Duché de Luxembourg, du Royaume des Pays-Bas et de la Confédération suisse du 1er juin 1996 au 30 septembre 1996.
(2) La présente Convention est soumise à la ratification, à l'acceptation ou à l'approbation des États signataires. Les instruments de ratification, d'acceptation ou d'approbation seront déposés auprès du Secrétaire Général de la Commission Centrale pour la navigation du Rhin.
(3) Après son entrée en vigueur, la présente Convention est ouverte à l'adhésion de tous les États dont les voies de navigation intérieure sont reliées à celles des États contractants. Les instruments d'adhésion seront déposés auprès du Secrétaire Général de la Commission Centrale pour la navigation du Rhin.
Article 18
Entrée en vigueur
La présente Convention entrera en vigueur le premier jour du deuxième mois suivant le dépôt du dernier instrument de ratification, d'acceptation ou d'approbation des États signataires. Elle entrera en vigueur à l'égard de toute autre Partie le premier jour du deuxième mois suivant le dépôt de son instrument d'adhésion.
Article 19
Amendements de la présente Convention et de ses annexes
(1) Chaque Partie contractante peut proposer des amendements à la présente Convention et à ses annexes. Les propositions d'amendement sont examinées par la Conférence des Parties contractantes.
(2) Le libellé de chaque proposition d'amendement et son motif seront présentés au dépositaire qui communiquera la proposition aux Parties contractantes au plus tard trois mois avant le début de la Conférence. Toutes les prises de position parvenues au sujet d'une telle proposition seront communiquées aux Parties contractantes par le dépositaire.
(3) Les amendements à la présente Convention et à ses annexes sont adoptés à l'unanimité.
(4) Les amendements à la présente Convention sont soumis à la ratification, à l'acceptation ou à l'approbation par les Parties contractantes. Ils entrent en vigueur le premier jour du sixième mois après le dépôt auprès du dépositaire du dernier instrument de ratification, d'acceptation ou d'approbation.
(5) Les amendements aux annexes de la présente Convention entrent en vigueur à la date convenue, au plus tard dans un délai de neuf mois après leur adoption, à moins que dans un délai de six mois l'une des Parties contractantes n'ait fait savoir qu'elle refusait ces amendements.
Article 20
Dénonciation
(1) La présente Convention peut être dénoncée par l'une quelconque des Parties contractantes par notification adressée au dépositaire à tout moment, cinq ans après la date à laquelle la Convention est entrée en vigueur à l'égard de cette Partie.
(2) La dénonciation prend effet le premier jour du mois suivant l'expiration d'une année à compter de la date à laquelle la notification est reçue, au plus tôt toutefois après la clôture de la péréquation financière annuelle pour l'exercice précédent, ou à l'expiration de toute période plus longue spécifiée dans la notification.
Article 21
Dépositaire
(1) Le Secrétaire Général de la Commission Centrale pour la navigation du Rhin est le dépositaire de la présente Convention. Un procès-verbal du dépôt des instruments de ratification, d'acceptation, d'approbation ou d'adhésion sera dressé par les soins du dépositaire, qui remettra à chacune des Parties visées à l'article 17, paragraphe 1, ainsi qu'à chacune des Parties ayant adhéré à la présente Convention une copie certifiée conforme desdits instruments ainsi que du procès-verbal de dépôt.
(2) Le dépositaire transmet des copies certifiées conformes de la présente Convention, dans les langues visées à l'article 22, à chacune des Parties visées à l'article 17, paragraphe 1, ainsi qu'à chacune des Parties ayant adhéré à la présente Convention.
(3) Le dépositaire assure sans délai l'information et la communication auprès de chacune des Parties visées à l'article 17, paragraphe 1, ainsi qu'à chacune des Parties ayant adhéré à la présente Convention
a) de toute signature nouvelle ainsi que de la date à laquelle cette signature est intervenue;
b) des documents visés à l'article 19, paragraphe 2;
c) des textes de chaque amendement à la présente Convention et à ses annexes, dans les langues visées à l'article 22;
d) de la date d'entrée en vigueur de la présente Convention, ainsi que des amendements à la présente Convention et à ses annexes;
e) des communications des Parties contractantes informant qu'elles s'opposent à une modification des annexes ainsi que de toute autre communication prescrite dans l'un des articles de la présente Convention;
f) de toute dénonciation de la présente Convention et de la date à laquelle celle-ci prend effet.
Article 22
Langues
La présente Convention est établie en un seul exemplaire original en langues allemande, française et néerlandaise, chaque texte faisant également foi.
En foi de quoi, les soussignés, dûment autorisés à cet effet, ont signé la présente Convention.
Fait à Strasbourg, le 9 septembre 1996. Pour la République fédérale d'Allemagne
(s.) Adolf RITTER von WAGNER
(s.) Hans Jochen HENKE
Pour le Royaume de Belgique
(s.) Théo L.R. LANSLOOT
Cette signature engage également la région flamande, la région wallonne et la région de Bruxelles-capitale.
Pour la République française
(s.) Marc PERRIN de BRICHAMBAUT
Pour le Grand Duché de Luxembourg
(s.) Carlo MATHIAS
Pour le Royaume des Pays-Bas
(s.) Anne-Marie JORRITSMA-LEBBINK
Pour la Confédération suisse
(s.) Mathias KRAFFT
Pour copie certifiée conforme:
(s.) Alain DEMENTHON
Secrétaire Général
Annexe 1
à la Convention relative à la collecte, au dépôt et à la réception de déchets survenant en navigation rhénane et intérieure
Voies d'eau visées à l'article 2
Allemagne:
Toutes les voies de navigation intérieure destinées au trafic général.
Belgique:
L'ensemble des eaux accessibles à la navigation intérieure.
France:
Règlement d'application, Partie A: Le Rhin, la Moselle canalisée (jusqu'à Metz, p.k. 298,5).
Règlement d'application, Parties B et C: Le Rhin, la Moselle canalisée jusqu'à Neuves-
Maisons, p.k. 392,45, le canal Niffer-Mulhouse, le canal entre l'écluse de Pont Malin (p.k. 0,0) et la frontière franco-belge (p.k. 36,561), le canal à grand gabarit entre l'écluse de Pont Malin (p.k. 0,0) et l'écluse de Mardyck (p.k. 143,075), le canal entre Bauvin (p.k. 0,0) et la frontière franco-belge (p.k. 33,850).
Grand Duché de Luxembourg:
La Moselle Pays-Bas:
L'ensemble des eaux accessibles à la navigation intérieure.
Suisse:
Le Rhin entre Bâle et Rheinfelden.
Annexe 2
à la Convention relative à la collecte, au dépôt et à la réception de déchets survenant en navigation rhénane et intérieure
Règlement d'application
Partie A — Collecte, dépôt et réception des déchets huileux et graisseux survenant lors de l'exploitation du bâtiment.
Partie B — Collecte, dépôt et réception des déchets liés à la cargaison.
Partie C — Collecte, dépôt et réception d'autres déchets survenant lors de l'exploitation du bâtiment.
Appendices
I. Modèle de carnet de contrôle des huiles usagées.
II. Exigences concernant le système d'assèchement.
III. Standards de déchargement et prescriptions relatives au dépôt et à la réception en vue de l'autorisation de déversement des eaux de lavage, de précipitation et de ballastage contenant des résidus de cargaison.
IV. Modèle d'attestation de déchargement.
V. Valeurs limites et de contrôle pour les stations d'épuration à bord de bateaux à passagers.
Partie A
Collecte, dépôt et réception des déchets huileux et graisseux survenant lors de l'exploitation du bâtiment
Chapitre I
Obligations des stations de réception
Article 1.01
Attestation de dépôt
Les exploitants des stations de réception attestent au bâtiment le dépôt des déchets huileux et graisseux survenant lors de son exploitation dans le carnet de contrôle des huiles usagées selon l'appendice I.
Chapitre II
Obligations du conducteur
Article 2.01
Interdiction de déversement et de rejet
(1) Il est interdit de jeter, de déverser ou de laisser s'écouler dans la voie d'eau à partir des bâtiments des déchets huileux et graisseux survenant lors de l'exploitation du bâtiment.
(2) En cas de déversement accidentel de déchets visés au paragraphe 1 ci-dessus ou de menace d'un tel déversement, le conducteur doit aviser sans délai les autorités compétentes les plus proches en indiquant aussi exactement que possible la nature, la quantité et l'endroit du déversement.
(3) Est excepté de l'interdiction visée au paragraphe 1, le déversement dans la voie d'eau d'eaux séparées par les bateaux déshuileurs agréés si la teneur maximale d'huile résiduaire à la sortie est continuellement et sans dilution préalable conforme aux prescriptions nationales.
Article 2.02
Collecte et traitement à bord
(1) Le conducteur doit assurer la collecte séparée à bord des déchets huileux et graisseux survenant lors de l'exploitation du bâtiment dans des récipients prévus à cet effet ou celle des eaux de fond de cale dans les cales des salles des machines.
Les récipients doivent être stockés à bord de telle manière que toute fuite de matière puisse facilement être constatée et empêchée à temps.
(2) Il est interdit
a) d'utiliser des réservoirs mobiles stockés sur le pont comme réservoirs de collecte des huiles usagées;
b) de brûler des déchets à bord;
c) d'introduire dans la cale des salles des machines des produits de nettoyage dissolvant l'huile et la graisse ou à action émulsifiante. Sont exceptés les produits qui ne rendent pas plus difficile l'épuration des eaux de fond de cale par les stations de réception.
Article 2.03
Carnet de contrôle des huiles usagées, dépôt aux stations de réception
(1) Chaque bâtiment motorisé qui utilise du gazole, doit avoir à son bord un carnet de contrôle des huiles usagées valable, délivré par l'autorité compétente selon le modèle de l'appendice I. Ce carnet de contrôle doit être conservé à bord. Après son renouvellement, le carnet précédent doit être conservé à bord six mois au moins après la dernière inscription.
(2) Les déchets huileux et graisseux survenant lors de l'exploitation du bâtiment doivent être déposés, contre justificatif, dans les stations de réception à des intervalles réguliers, déterminés par l'état et l'exploitation du bâtiment. Ce justificatif consiste en une mention portée dans le carnet de contrôle des huiles usagées par la station de réception.
(3) Les navires de mer disposant d'un registre des hydrocarbures tel que prévu par la Convention internationale pour la prévention de la pollution par les navires (Marpol) sont exemptés de la tenue du carnet de contrôle visé au paragraphe 1.
Chapitre III
Organisation et financement de l'élimination des déchets huileux et graisseux survenant lors de l'exploitation du bâtiment
Article 3.01
Perception de la rétribution d'élimination
(1) La rétribution d'élimination s'élève la première année à 7,5 ECU pour 1000 l de gazole vendu.
(2) La rétribution d'élimination est à acquitter au moyen de timbres mis en vente par une institution nationale. Les timbres sont édités par l'instance internationale de péréquation et de coordination.
(3) Lors de l'avitaillement, le conducteur remet à la station d'avitaillement la quotité de timbres correspondant à la quantité de gazole à recevoir.
(4) Lors de chaque livraison de gazole, la station d'avitaillement oblitère la quotité de timbres correspondant à la rétribution d'élimination relative à la quantité de gazole avitaillée.
(5) Une fois par trimestre les stations d'avitaillement doivent communiquer aux institutions nationales ou aux autorités compétentes en vertu de dispositions nationales les quantités de gazole fournies contre remise de timbres.
(6) Les modalités de cette procédure sont à déterminer sur le plan national après accord au sein de l'instance internationale de péréquation et de coordination.
Article 3.02
Institution nationale
L'institution nationale perçoit la rétribution d'élimination et soumet à l'instance internationale de péréquation et de coordination des propositions pour la définition du réseau des stations de réception nécessaire sur le plan national. Elle a en outre pour tâche notamment d'enregistrer régulièrement selon un modèle uniforme sur le plan international les quantités éliminées des déchets huileux et graisseux survenant lors de l'exploitation du bâtiment ainsi que la somme des rétributions d'élimination perçues. L'institution nationale ou l'autorité compétente en vertu de dispositions nationales contrôle les coûts d'élimination. L'institution nationale est représentée à l'instance internationale de péréquation et de coordination et doit notamment verser aux dates fixées les montants provisoires et définitifs déterminés par cette instance et dus au titre de la péréquation financière à d'autres institutions nationales.
Article 3.03
Contrôle de la perception de la rétribution d'élimination et des coûts de réception et d'élimination
(1) Un justificatif d'approvisionnement pour le gazole doit être établi par la station d'avitaillement pour chaque avitaillement en gazole. Il doit comporter au moins les indications suivantes: nom du bâtiment, numéro officiel ou toute autre indication permettant l'identification du bâtiment, nom du conducteur, quantité de gazole avitaillée/remise, valeur de timbres remis/reçus, lieu et date, signature du conducteur et de la station d'avitaillement.
Un exemplaire est remis au conducteur qui doit le conserver à bord pendant six mois au moins. Un autre exemplaire est conservé par la station d'avitaillement qui doit lui adjoindre de manière non détachable la quotité de timbres correspondante et les oblitérer.
(2) La concordance entre les quantités de gazole avitaillées par les bâtiments et la valeur des timbres oblitérés est contrôlée par l'institution nationale ou l'autorité compétente en vertu de dispositions nationales sur la base des justificatifs d'approvisionnement de gazole qui doivent être présentés par les stations d'avitaillement.
(3) L'autorité qui est compétente en vertu de dispositions nationales peut contrôler à bord des bâtiments le paiement de la rétribution d'élimination ainsi que les quantités éliminées de déchets huileux et graisseux survenant lors de l'exploitation du bâtiment, en comparant les voyages effectués inscrits dans les documents de bord appropriés avec les indications figurant dans les justificatifs d'approvisionnement de gazole.
(4) L'institution nationale ou l'autorité qui est compétente en vertu de dispositions nationales peut contrôler auprès des stations de réception les données relatives aux quantités éliminées ainsi que les coûts d'élimination sur la base des documents appropriés.
(5) Les modalités de cette procédure sont à déterminer sur le plan national après coordination au sein de l'instance internationale de péréquation et de coordination.
Chapitre IV
Péréquation financière internationale
Article 4.01
Instance internationale de péréquation et de coordination
L'instance internationale de péréquation et de coordination se réunit une fois par an au dernier trimestre afin d'arrêter la péréquation financière de l'année précédente et de proposer, le cas échéant, à la Conférence des Parties contractantes une modification du montant de la rétribution d'élimination et l'adaptation éventuellement nécessaire du réseau des stations de réception en place compte tenu des besoins de la navigation et de l'efficience de l'élimination. Elle peut se réunir à tout moment lorsque les représentants de deux institutions nationales le demandent.
Article 4.02
Péréquation financière provisoire
(1) Les institutions nationales communiquent à l'instance internationale de péréquation et de coordination tous les trimestres, c'est-à-dire aux 31 mars, 30 juin, 30 septembre et 31 décembre, conformément à un modèle uniforme:
a) les quantités des déchets huileux et graisseux recueillis et éliminés au cours du trimestre précédent;
b) les coûts totaux de la réception et de l'élimination des quantités indiquées à la lettre a) ci- dessus;
c) les quantités de gazole livrées aux bâtiments au cours du trimestre précédent;
d) le montant de la rétribution d'élimination perçu au cours du trimestre précédent;
e) les conséquences financières des mesures visées à l'article 6, paragraphe 1, cinquième phrase, de la présente Convention.
La conversion des monnaies se fait au cours de change en vigueur aux dates précitées.
(2) Sur la base des chiffres communiqués conformément au paragraphe 1 ci-dessus et en appliquant la procédure de péréquation prévue à l'article 4.04 ci-après, l'instance internationale de péréquation et de coordination calcule les montants provisoires de la péréquation financière trimestrielle et les transmet aux institutions nationales dans un délai de quatre semaines après réception des communications.
(3) Les institutions nationales débitrices au titre de la péréquation financière trimestrielle sont tenues d'effectuer les paiements dus aux institutions nationales créditrices, dans un délai de quatre semaines après réception de l'ordre de paiement.
Article 4.03
Péréquation financière annuelle
(1) Les institutions nationales présentent leur bilan annuel pour l'exercice écoulé à l'instance internationale de péréquation et de coordination au plus tard le 1er août de l'année en cours. Au cours de sa réunion ordinaire, l'instance internationale de péréquation et de coordination fixe la péréquation financière de l'année précédente.
(2) Les institutions nationales sont tenues d'effectuer les paiements dus au titre de la péréquation financière définitive pour l'année précédente conformément à l'article 4.02, paragraphe 3, ci- dessus. La conversion des monnaies se fait au cours de change en vigueur le 31 décembre de l'année précédente.
Article 4.04
Procédure de la péréquation financière
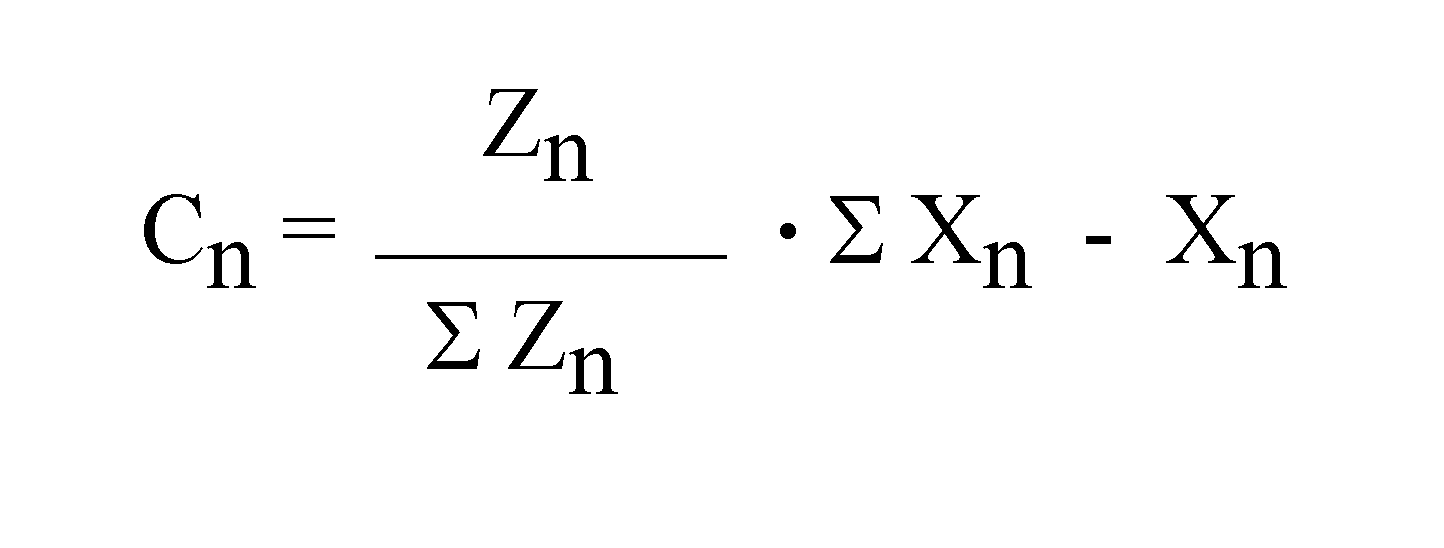
(1) La péréquation financière visée aux articles 4.02 et 4.03 ci-dessus est déterminée comme suit pour chaque institution nationale:

où
Cn = montant de péréquation d'une institution nationale N.
Signe positif: l'institution est créditrice au titre de la péréquation.
Signe négatif: l'institution est débitrice au titre de la péréquation.
Xn = recettes des rétributions d'élimination d'une institution nationale N conformément à l'article 4.02, paragraphe 1, ci-dessus.
Zn = coûts de réception et d'élimination effectifs d'une institution nationale N conformément à l'article 4.02, paragraphe 1, ci-dessus.
Z Xn = somme des recettes des rétributions d'élimination de toutes les institutions nationales.
ZZn = somme des coûts de réception et d'élimination effectifs de toutes les institutions nationales.
(2) Les montants Cn inférieurs à un pourcentage minimum des recettes de la rétribution d'élimination d'une institution nationale N ne font pas l'objet d'une péréquation. Le pourcentage minimum est fixé par l'instance internationale de péréquation et de coordination.
Partie B
Collecte, dépôt et réception des déchets liés à la cargaison
Chapitre V
Dispositions générales
Article 5.01
Définitions
Aux fins de l'application de la présente partie les termes suivants signifient:
a) « transports exclusifs »: transports successifs au cours desquels la même cargaison ou une autre cargaison dont l'acheminement n'exige pas le nettoyage préalable des cales ou des citernes est transportée dans la cale ou la citerne du bâtiment;
b) « cargaison restante »: cargaison liquide restant dans les citernes ou dans les tuyauteries après le déchargement sans utilisation d'un système d'assèchement ainsi que cargaison sèche restant dans les cales après le déchargement sans utilisation de balais, de balayeuses mécaniques ou d'installations d'aspiration;
c) « résidus de cargaison »: cargaison liquide qui ne peut être évacuée des citernes ou des tuyauteries par le système d'assèchement ainsi que cargaison sèche dont la cale ne peut être débarrassée par l'utilisation de balayeuses mécaniques, de balais ou d'installations d'aspiration;
d) « système d'assèchement »: système conforme à l'appendice II permettant de vider et d'assécher aussi complètement que possible les citernes et les tuyauteries sauf pour ce qui est des résidus de cargaison ne pouvant être évacués par assèchement;
e) « résidus de manutention »: cargaison qui lors de la manutention tombe sur le bâtiment à l'extérieur de la cale;
f) « cale balayée »: cale débarrassée de la cargaison restante à l'aide de moyens de nettoyage tels que balais ou balayeuses, sans l'aide d'appareils d'aspiration ou de lavage et où ne subsistent que des résidus de cargaison;
g) « citerne asséchée »: citerne débarrassée de la cargaison restante à l'aide d'un système d'assèchement et où ne subsistent que des résidus de cargaison;
h) « cale aspirée »: cale débarrassée de la cargaison restante à l'aide de la technique d'aspiration et où subsistent nettement moins de résidus de cargaison que dans une cale balayée;
i) « déchargement des restes »: évacuation des cargaisons restantes hors des cales respectivement des citernes et tuyauteries à l'aide de moyens appropriés (par ex. balais, balayeuses, installation d'aspiration, système d'assèchement) qui permettent d'atteindre le standard de déchargement « balayé » ou « aspiré » pour la cale, « asséché » pour la citerne ainsi qu'évacuation des résidus de manutention et des emballages et moyens d'arrimage;
j) « lavage »: évacuation des résidus de cargaison hors des cales balayées ou aspirées et des citernes asséchées à l'aide de vapeur d'eau ou d'eau;
k) « cale ou citerne lavée »: cale ou citerne qui après lavage est en principe appropriée à recevoir toute catégorie de cargaison;
l) « eau de lavage »: eau survenant lors du lavage des cales balayées ou aspirées ou des citernes asséchées. En font partie également l'eau de ballastage et l'eau de précipitation provenant de ces cales ou citernes.
Article 5.02
Obligation des États contractants
Les États contractants s'engagent à mettre ou à faire mettre en place les infrastructures et autres conditions nécessaires au dépôt et à la réception de cargaisons restantes, de résidus de manutention, de résidus de cargaison et d'eaux de lavage dans un délai de cinq ans après l'entrée en vigueur de la présente Convention.
Article 5.03
Navires de mer
La présente Partie B ne s'applique ni au chargement ni au déchargement des navires de mer dans les ports maritimes situés sur des voies de navigation maritime.
Chapitre VI
Obligations à charge des conducteurs
Article 6.01
Interdiction de déversement et de rejet
(1) Il est interdit de jeter, de déverser ou de laisser s'écouler dans la voie d'eau à partir des bâtiments des parties de cargaison ainsi que des déchets liés à la cargaison.
(2) Sont exceptées de l'interdiction du paragraphe 1 ci-dessus les eaux de lavage comportant des résidus de cargaison dont le déversement dans la voie d'eau est explicitement autorisé conformément à l'appendice III à condition que les dispositions dudit appendice aient été respectées.
(3) En cas de déversement de matières pour lesquelles l'appendice III prescrit exclusivement un dépôt pour traitement spécial ou en cas de menace d'un tel déversement, le conducteur doit en aviser sans délai les autorités compétentes les plus proches en indiquant avec le plus de précision possible l'endroit ainsi que la quantité et la nature du déversement.
(4) L'autorité nationale compétente apprécie l'admissibilité du déversement de déchets liés à la cargaison provenant de marchandises qui ne figurent pas sur la liste des marchandises énumérées à l'appendice III du règlement d'application et fixe un standard de déchargement provisoire.
La Conférence des Parties contractantes examine cette proposition et complète le cas échéant la liste des marchandises.
Article 6.02
Dispositions transitoires
(1) Les dispositions transitoires suivantes sont applicables pendant un délai de cinq ans après l'entrée en vigueur de la présente Convention:
a) en ce qui concerne les cargaisons sèches:
— là où à l'appendice III est exigé le standard de déchargement « état aspiré », le standard de déchargement « état balayé » est autorisé,
— là où à l'appendice III est exigé le rejet des eaux de lavage dans le réseau d'assainissement, le déversement dans la voie d'eau est autorisé si le standard de déchargement « état balayé » a été respecté;
b) en ce qui concerne les cargaisons liquides:
l'assèchement des citernes à cargaison conformément à l'article 7.04 n'est pas exigé, toutefois les systèmes existants doivent être utilisés dans toute la mesure du possible même s'ils ne sont pas encore conformes à l'appendice II.
(2) Si les conditions requises sont remplies pour le respect du standard de déchargement « état aspiré » pour le dépôt des eaux de lavage auprès des stations de réception ou pour l'assèchement de bateaux-citernes, l'autorité compétente nationale peut prescrire, sur tout ou partie de son territoire, que même avant la fin de la période transitoire les dispositions de l'appendice III soient applicables sans restriction pour les types de marchandises concernées. L'autorité compétente nationale en informe au préalable la Conférence des Parties contractantes.
Article 6.03
Attestation de déchargement
(1) Tout bâtiment qui a été déchargé en un point situé dans le champ d'application de la présente Convention doit avoir à son bord une attestation de déchargement valable conforme à l'appendice IV.
L'attestation de déchargement doit être conservée à bord au moins six mois après sa délivrance.
Lorsqu'il s'agit d'un bâtiment sans équipage, l'attestation de déchargement peut être conservée par l'exploitant du bâtiment à un endroit autre qu'à bord.
(2) Lors du déchargement des restes ainsi que du dépôt et de la réception de déchets liés à la cargaison les standards de déchargement et les prescriptions de l'appendice III relatives au dépôt et à la réception sont applicables.
(3) Après le chargement le bâtiment ne peut poursuivre son voyage que lorsque le conducteur se sera assuré que les résidus de manutention ont été enlevés.
(4) Le bâtiment ne peut poursuivre son voyage après le déchargement que lorsque le conducteur aura confirmé dans l'attestation de déchargement que la cargaison restante ainsi que les résidus de manutention ont été pris en charge.
(5) Les dispositions du paragraphe 4 ci-dessus ne s'appliquent pas aux bâtiments effectuant des transports exclusifs.
(6) Lorsque les cales ou citernes sont lavées et que les eaux de lavage ne peuvent pas être déversées dans la voie d'eau en vertu des standards de déchargement et des prescriptions de l'appendice III relatives au dépôt et à la réception, le bâtiment ne peut poursuivre son voyage que lorsque le conducteur aura confirmé dans l'attestation de déchargement que les eaux de lavage ont été prises en dépôt ou qu'une station de réception lui a été désignée.
Chapitre VII
Obligations de l'exploitant du bâtiment, de l'affréteur, du destinataire de la cargaison et de l'exploitant de l'installation de manutention
Article 7.01
Attestation de la réception
(1) Dans l'attestation de déchargement visée à l'article 6.03 ci-dessus, le destinataire de la cargaison atteste au bâtiment le déchargement de la cargaison, le déchargement des restes et, dans la mesure où il lui incombe, le lavage des cales ou des citernes à cargaison ainsi que la réception des déchets liés à la cargaison ou, le cas échéant, la désignation d'une station de réception.
(2) Si le destinataire de la cargaison ne recueille pas lui-même les eaux de lavage qui ne peuvent être déversées dans la voie d'eau l'exploitant de la station de réception atteste au bâtiment la réception des eaux de lavage.
Article 7.02
Mise à disposition du bâtiment
(1) L'exploitant du bâtiment met le bâtiment à la disposition de l'affréteur dans un standard de déchargement tel que la cargaison puisse être transportée et livrée sans subir de préjudices. En règle générale, ceci est le cas pour le standard de déchargement « cale balayée » ou « citerne asséchée » et lorsque le bâtiment est libre de tous résidus de manutention.
(2) Il peut être convenu au préalable d'un standard de déchargement supérieur ou d'un lavage.
(3) Avec le démarrage des opérations de chargement, le bâtiment est considéré avoir été mis à disposition par son exploitant dans un état correspondant aux exigences prévues par les paragraphes 1 ou 2 ci-dessus.
Article 7.03
Chargement et déchargement
(1) Le chargement et le déchargement d'un bâtiment comprennent également les mesures nécessaires au déchargement des restes et au lavage, prévues par les dispositions de la présente Partie B. Les cargaisons restantes doivent, dans la mesure du possible, être ajoutées à la cargaison.
(2) Lors du chargement l'affréteur doit veiller à ce que le bâtiment reste libre de résidus de manutention. Si de tels résidus surviennent néanmoins, l'affréteur veille à leur élimination après le chargement sauf s'il en a été convenu autrement.
(3) Lors du déchargement, le destinataire de la cargaison doit veiller à ce que le bâtiment reste libre de résidus de manutention. Si de tels résidus surviennent néanmoins, le destinataire de la cargaison veille à leur élimination. Les résidus de manutention doivent, dans la mesure du possible, être ajoutés à la cargaison.
Article 7.04
Restitution du bâtiment
(1) Pour les cargaisons sèches, le destinataire de la cargaison doit veiller à ce qu'après le déchargement, la cale soit restituée dans un état balayé ou aspiré selon les standards de déchargement et les prescriptions relatives au dépôt et à la réception de l'appendice III. Il est tenu de recueillir toute cargaison restante ainsi que tout résidu de manutention survenus à bord du bâtiment déchargé.
Pour les cargaisons liquides, l'affréteur doit veiller à ce qu'après le déchargement, la citerne soit restituée dans un état asséché. Sauf disposition contraire du contrat de transport, le conducteur effectue le déchargement, y compris le déchargement des restes à l'aide d'un système d'assèchement. La tuyauterie destinée à la collecte de la cargaison restante doit être munie d'un système de raccordement conforme au modèle 1 de l'appendice II. Lors de l'utilisation du système d'assèchement de bord, la contre-pression dans le système de tuyauteries du destinataire de la cargaison, avant le début de l'opération d'assèchement, ne doit pas dépasser 3 bar. L'exploitant de l'installation de manutention est tenu de recueillir la cargaison restante.
(2) L'obligation de restituer la cale ou la citerne à cargaison dans un état lavé incombe au destinataire de la cargaison dans le cas d'une cargaison sèche et à l'affréteur dans le cas d'une cargaison liquide si
a) le bâtiment se trouvait dans cet état de propreté avant le dernier chargement et que, au cas où le lavage incombe au destinataire de la cargaison, la preuve en est fournie par l'attestation de déchargement établie pour la cargaison précédente et si
b) le bâtiment a transporté des marchandises dont les résidus de cargaison mélangés aux eaux de lavage ne peuvent être déversés dans la voie d'eau en vertu des standards de déchargement et des prescriptions relatives au dépôt et à la réception visés à l'appendice III.
(3) Les paragraphes 1 et 2 ci-dessus ne s'appliquent pas aux cales et citernes des bâtiments effectuant des transports exclusifs.
(4) Si, à l'issue de la durée de déchargement ou des jours de staries convenus, le destinataire de la cargaison ou l'affréteur ne restitue pas le bâtiment conformément aux dispositions du présent article et de l'article 7.03 ci-dessus, l'exploitant peut mettre ou faire mettre le bâtiment dans l'état prescrit. Tous les frais occasionnés, y compris notamment les frais de surestaries, pour autant qu'ils ne sont pas imputables à l'exploitant du bâtiment, sont à la charge du destinataire de la cargaison ou de l'affréteur.
Article 7.05
Résidus de cargaison et eaux de lavage
(1) Pour les cargaisons sèches, le destinataire de la cargaison est tenu de recueillir les eaux de lavage qui surviennent après le lavage conformément à l'article 7.04, paragraphe 2, ou après concertation avec l'exploitant du bâtiment, de désigner au conducteur une station de réception.
(2) L'affréteur d'une cargaison liquide est tenu de désigner, dans le contrat de transport, à l'exploitant du bâtiment, une station de réception des eaux de lavage qui surviennent après le lavage conformément à l'article 7.04, paragraphe 2.
(3) La station de réception doit être située à proximité du lieu de déchargement ou sur le chemin menant au prochain lieu de chargement ou de déchargement du bâtiment.
Article 7.06
Frais
(1) Pour les cargaisons sèches, les frais occasionnés par le déchargement des restes et le lavage des cales selon l'article 7.04 ci-dessus et par la réception d'eaux de lavage selon l'article 7.05, paragraphe 1 ci-dessus, y compris le cas échéant les frais d'attente et de détours qui en résultent, sont à la charge du destinataire de la cargaison. Il en est de même des frais occasionnés en raison d'eaux de précipitation qui ont pénétré dans les cales après le début du chargement et avant la fin du déchargement visé à l'article 7.03, paragraphe 1, lorsqu'un transport en cale couverte n'a pas été convenu.
En cas de transports exclusifs pour le même affréteur, celui-ci est tenu de recueillir à ses frais, avant le chargement, les eaux de précipitations qui ont pénétré dans les cales depuis la fin du déchargement précédent.
(2) Pour les cargaisons liquides, les frais occasionnés par le déchargement des restes et le lavage des citernes selon l'article 7.04 ainsi que par la réception d'eaux de lavage selon l'article 7.05, paragraphe 2, ci-dessus, y compris le cas échéant les frais d'attente et de détours qui en résultent, sont à la charge de l'affréteur.
(3) Les frais occasionnés par le dépôt des eaux de lavage provenant de cales et de citernes qui ne sont pas conformes aux standards de déchargement prescrits sont à la charge de l'exploitant du bâtiment.
Article 7.07
Accord entre l'affréteur et le destinataire de la cargaison
L'affréteur et le destinataire de la cargaison peuvent convenir entre eux d'une répartition de leurs obligations différente de celle prévue par la présente annexe pour autant que cela n'ait pas de conséquences pour l'exploitant du bâtiment.
Article 7.08
Transfert des droits et des obligations de l'affréteur ou du destinataire de la cargaison à l'exploitant de l'installation de manutention
Lorsque l'affréteur ou le destinataire de la cargaison fait appel aux services d'une installation de manutention pour le chargement ou pour le déchargement d'un bâtiment, l'exploitant de cette installation est subrogé dans les droits et les obligations de l'affréteur ou du destinataire de la cargaison visés à l'article 7.01, paragraphe 1 ainsi qu'aux articles 7.03, 7.04 et 7.05. En ce qui concerne l'article 7.06, cette subrogation ne vaut que pour les frais d'évacuation et de réception des résidus de manutention.
Article 7.09
Documents de transport
L'affréteur mentionne dans le contrat de transport et dans les documents de transport le nom et le numéro à quatre chiffres selon l'appendice III de chaque catégorie de matières qu'il a remise au transport.
Partie C
Collecte, dépôt et réception d'autres dechets survenant lors de l'exploitation du bâtiment
Chapitre VIII
Dispositions générales
Article 8.01
Définitions
Aux fins de l'application de la présente partie les termes suivants désignent:
a) « eaux usées domestiques »: eaux usées provenant de cuisines, salles à manger, salles d'eau et buanderies ainsi qu'eaux fécales;
b) « ordures ménagères »: déchets organiques et inorganiques provenant des ménages et de la gastronomie à bord, ne contenant toutefois pas de composants des autres déchets définis survenant lors de l'exploitation du bâtiment;
c) « boues de curage »: résidus survenant à bord du bâtiment lors de l'exploitation d'une station d'épuration à bord;
d) « slops »: mélanges de résidus de cargaison avec des restes d'eaux de lavage, de la rouille ou de la boue, aptes ou non à être pompés;
e) « autres déchets spéciaux »: déchets survenant lors de l'exploitation du bâtiment autres que les déchets huileux et graisseux et autres que les déchets visés aux lettres a) à d);
f) « bateau à passagers à cabines »: un bateau à passagers muni de cabines pour le séjour de nuit de passagers.
Article 8.02
Obligations des États contractants
(1) Les États contractants s'engagent à mettre ou à faire mettre à disposition des installations de réception pour les ordures ménagères
a) aux installations de manutention ou dans les ports,
b) aux postes d'accostage des bateaux à passagers pour les bateaux à passagers qui y accostent,
c) à certaines aires de stationnement et écluses pour la navigation de passage.
(2) Les États contractants s'engagent à installer ou à faire installer dans des ports des stations de réception pour les slops et pour les autres déchets spéciaux, au plus tard dans un délai de cinq ans à compter de l'entrée en vigueur de la présente Convention.
(3) Les États contractants s'engagent à installer ou à faire installer, conformément aux dispositions de l'article 4, paragraphe 1, de la présente Convention, au plus tard jusqu'à la date indiquée à l'article 9.01, paragraphe 3, des stations de réception pour les eaux usées domestiques à certains postes d'accostage servant d'aires de stationnement habituelles ou d'aires de stationnement pour la nuit:
a) pour bateaux à passagers à cabines pourvus de plus de 50 emplacements de couchage
b) pour bateaux à passagers admis au transport de plus de 50 passagers.
Chapitre IX
Obligations du conducteur
Article 9.01
Interdiction de déversement et de rejet
(1) Il est interdit de jeter, de déverser ou de laisser s'écouler dans la voie d'eau à partir des bâtiments des ordures ménagères, des slops, des boues de curage et d'autres déchets spéciaux.
(2) En cas de déversement accidentel de déchets visés au paragraphe 1 ci-dessus ou de menace d'un tel déversement, le conducteur doit aviser sans délai les autorités compétentes les plus proches en indiquant avec le plus de précision possible l'endroit ainsi que la quantité et la nature du déversement.
(3) Le déversement des eaux usées domestiques est interdit
a) aux bateaux à passagers à cabines pourvus de plus de 50 emplacements de couchage après le 1er janvier 2005,
b) aux bateaux à passagers admis au transport de plus de 50 passagers à partir du 1er janvier 2010.
Dans les autres cas le déversement des eaux usées domestiques dans les eaux est autorisé.
(4) L'interdiction prévue au paragraphe 3 ci-dessus ne s'applique pas aux bateaux à passagers qui disposent d'une station d'épuration de bord respectant les valeurs limites et de contrôle mentionnées à l'appendice V.
(5) L'interdiction prévue au paragraphe 3 ci-dessus ne s'applique pas aux navires de mer dans les ports maritimes situés sur des voies de navigation maritime pour autant qu'ils sont soumis aux dispositions de la Convention internationale pour la prévention de la pollution par les navires (Marpol).
Article 9.02
Dérogations à l'interdiction de déversement des eaux usées domestiques
Les États contractants peuvent convenir, pour les bateaux visé à l'article 9.01, paragraphe 3, pour lesquels l'interdiction de déversement des eaux usées domestiques est difficilement réalisable dans la pratique ou entraînerait des dépenses déraisonnables, une procédure appropriée pour des possibilités de dérogations et fixer les conditions sous lesquelles ces dérogations peuvent être considérées comme équivalentes.
Article 9.03
Collecte et traitement à bord, dépôt aux stations de réception
(1) Le conducteur doit assurer la collecte à bord et le dépôt séparé des déchets visés à l'article 9.01, paragraphe 1. Si possible les ordures ménagères doivent être déposées séparément selon les catégories suivantes: papier, verre, autres matières recyclables et autres ordures.
(2) L'incinération des déchets visés à l'article 9.01, paragraphe 1, est interdite à bord.
(3) Les exploitants des bateaux à passagers qui disposent d'une station d'épuration de bord conforme à l'appendice V doivent veiller eux-mêmes de manière appropriée au dépôt réglementaire des boues de curage, contre attestation sur la base des dispositions nationales.
Chapitre X
Obligations de l'exploitant de la station de réception
Article 10.01
Réception par les stations de réception
(1) L'exploitant de la station de réception doit assurer que les déchets visés à l'article 9.01, paragraphe 1 pourront être déposés séparément.
(2) L'exploitant de la station de réception doit attester au conducteur le dépôt des slops conformément aux prescriptions nationales.
APPENDICES
Les appendices, pages 40 à 95 incluse, sont uniquement disponibles sur support papier.
Avant-projet de loi portant assentiment à la Convention relative à la collecte, au dépôt et à la réception des déchets survenant en navigation rhénane et intérieure, aux Annexes 1 et 2, et aux Appendices i, ii, iii, iv et v, faits à Strasbourg le 9 septembre 1996.
Article 1er
La présente loi règle une matière visée à l'article 77 de la Constitution.
Art. 2
La Convention relative à la collecte, au dépôt et à la réception des déchets survenant en navigation rhénane et intérieure, les Annexes 1 et 2, et les Appendices i, ii, iii, iv et v, faits à Strasbourg le 9 septembre 1996, sortiront leur plein et entier effet.
Les Amendements aux Annexes de la Convention qui seront adoptés en application de l'article 19 de la Convention sans que la Belgique s'oppose à leur adoption, sortiront leur plein et entier effet.
Le CONSEIL D'ÉTAT, section de législation, troisième chambre, saisi par le ministre des Affaires étrangères, le 4 février 2008, d'une demande d'avis, dans un délai de cinq jours ouvrables, sur un avant-projet de loi « portant assentiment à la Convention relative à la collecte, au dépôt et à la réception des déchets survenant en navigation rhénane et intérieure, aux Annexes 1 et 2, et aux Appendices I, II, III, IV et V, faits à Strasbourg le 9 septembre 1996 », a donné l'avis suivant:
1. Conformément à l'article 84, § 1er, alinéa 1er, 2º, des lois coordonnées sur le Conseil d'État, la demande d'avis doit indiquer les motifs qui en justifient le caractère urgent.
En l'occurrence, l'urgence est motivée comme suit:
« — Met het oog op de inwerkingtreding van het Verdrag dient dit Verdrag geratificeerd te worden door alle ondertekenende Staten. De ratificatie door België is de enige nog ontbrekende. De andere ondertekenende Staten die reeds geratificeerd hebben (Frankrijk, Luxemburg, Duitsland, Nederland en Zwitserland) dringen erop aan dat de Belgische procedure zo spoedig mogelijk afgerond zou worden. België heeft er zich, tijdens internationale vergaderingen, reeds toe verbonden alles in het werk te zullen stellen opdat de ratificatieprocedure bij het begin van de lente 2008 beëindigd zou zijn.
Het Verdrag voert het principe « de verbruiker betaalt » in. Elk uitstel met betrekking tot de inwerkingtreding van het Verdrag heeft tot gevolg dat de bevoegde overheden bepaalde financiële lasten voor de verwijdering van afvalstoffen dienen te blijven dragen. Vooral in Nederland en Duitsland wordt dit financiële element als argument gebruikt en wordt elke vertraging als onaanvaardbaar beschouwd. (Voor Nederland en Duitsland gaat het om een last ten belope van 300 000 euro per maand).
Verschillende instellingen, die op internationaal vlak betrokken zijn bij de bescherming van het leefmilieu zijn erg bezorgd. Immers, om verschillende redenen zou de continuïteit van de verwijderingssystemen voor olie- en vethoudend afval die reeds operationeel zijn in Duitsland, Zwitserland en Nederland in gevaar kunnen komen, indien de inwerkingtreding van het Verdrag onzeker zou blijven. Een dergelijk risico werd herhaalde malen formeel gesignaleerd door de autoriteiten van voormelde Staten ».
2. En application de l'article 84, § 3, alinéa 1er, des lois coordonnées sur le Conseil d'État, la section de législation a dû se limiter à l'examen de la compétence de l'auteur de l'acte, du fondement juridique (1) ainsi que de l'accomplissement des formalités prescrites.
PORTÉE DE L'AVANT-PROJET
3. L'avant-projet de loi soumis pour avis a pour objet de donner assentiment à la Convention relative à la collecte, au dépôt et à la réception des déchets survenant en navigation rhénane et intérieure, signée à Strasbourg, le 9 septembre 1996, ainsi qu'à ses annexes et appendices. Outre l'assentiment à la convention précitée proprement dite, l'avant-projet prévoit également un assentiment préalable aux amendements aux annexes.
OBSERVATIONS GÉNÉRALES
4. Outre la Convention proprement dite, l'intitulé et l'article 2, alinéa 1er, du projet mentionnent ses annexes 1 et 2 et les appendices I, II, III, IV et V. L'article 2, alinéa 2, du projet se borne à faire mention des annexes (2) .
Pour éviter toute équivoque — et l'insécurité juridique qui en résulte — il faut veiller en l'espèce à l'uniformité.
5.1. L'article 2, alinéa 2, du projet dispose que les amendements aux annexes de la Convention qui seront adoptés en application de l'article 19 sans que la Belgique s'oppose à leur adoption, sortiront leur plein et entier effet.
Bien qu'il résulte de l'article 167, § 3, de la Constitution que le Parlement doit également donner son assentiment aux modifications apportées à un traité, rien ne s'oppose à ce que, sous certaines conditions, cet assentiment soit donné anticipativement (3) . À cet égard, on peut faire référence à l'avis 37.954/AG-37.970/AG-37.977/AG-37.978/AG du 15 février 2005 (4) , dans lequel le Conseil d'État, section de législation, siégeant en assemblée générale, a observé ce qui suit:
« Tant la Cour de cassation (5) que la section de législation du Conseil d'État (6) admettent que, dans certaines conditions, les Chambres législatives peuvent donner leur assentiment préalable à un traité ou à un amendement à celui-ci. Pour qu'un tel assentiment préalable soit compatible avec l'article 167, §§ 2 à 4, de la Constitution et avec l'article 16 de la loi spéciale du 8 août 1980 de réformes institutionnelles, deux conditions doivent être réunies: il faut notamment que les Chambres législatives et, le cas échéant, les parlements des communautés et des régions connaissent les limites des futurs amendements (7) et qu'ils indiquent expressément qu'ils donnent leur assentiment à ces amendements ».
En l'occurrence, l'objet de l'assentiment préalable est suffisamment précisé et l'article 2, alinéa 2, donne expressément assentiment aux amendements futurs.
5.2. Les observations ci-dessus n'enlèvent rien au fait qu'en application des dispositions précitées, il est possible que les annexes de la convention fassent l'objet d'amendements sur lesquels le Parlement ne peut marquer son accord.
Pour que le Parlement soit en mesure de faire savoir qu'il refuse son assentiment à un amendement déterminé (revenant par conséquent, en ce qui concerne cet amendement (8) sur son assentiment préalable) il est recommandé d'ajouter au projet une disposition imposant de communiquer au Parlement dans un délai utile tout amendement aux annexes.
6. Il faut également se pencher sur la question de la publication des amendements qui seraient apportés aux annexes de la convention conformément à la procédure examinée ci-dessus.
L'assentiment préalable à de tels amendements n'emporte pas de dérogation à l'obligation de les publier au Moniteur belge pour qu'ils puissent produire leurs effets en droit interne, obligation qui découle de l'article 190 de la Constitution et de l'article 8 de la loi du 31 mai 1961 relative à l'emploi des langues en matière législative, à la présentation, à la publication et à l'entrée en vigueur des textes légaux et réglementaires.
L'article 190 de la Constitution dispose que seul le législateur est compétent pour déterminer la forme dans laquelle les lois et règlements doivent être publiés pour acquérir un caractère obligatoire. Selon la Cour de cassation, cette disposition constitutionnelle s'applique par analogie aux actes internationaux. Elle a en effet jugé que les traités sont inopposables aux particuliers tant qu'ils n'ont pas été publiés intégralement au Moniteur belge (9) .
Ce n'est que si la convention avait elle-même déterminé le mode de publication de ces amendements que l'absence de publication au Moniteur belge ne susciterait pas d'objection (10) .
Par conséquent, il s'impose de publier au Moniteur belge les dispositions modifïcatives ultérieures aux annexes de la convention.
La chambre était composée de
M. J. SMETS, conseiller d'État, président,
MM. B. SEUTIN et W. VAN VAERENBERGH, conseillers d'État,
Mme G. VERBERCKMOES, greffier.
Le rapport a été présenté par Mme K. BAMS, auditeur.
La concordance entre la version néerlandaise et la version française a été vérifiée sous le contrôle de M. J. SMETS.
| Le greffier, | Le président, |
| G. VERBERCKMOES. | J. SMETS. |
(1) S'agissant d'un avant-projet de loi, on entend par « fondement juridique » la conformité aux normes supérieures.
(2) Il peut être déduit de l'article 3, alinéa 3, de la Convention que les appendices font partie de l'annexe 2.
(3) Voir au sujet de la problématique de l'assentiment parlementaire à des modifications simplifiées à un traité: D. Van Eeckhoutte et T. Loose « Wijziging zkt. instemming », T.v. W., 2007, 3-27.
(4) Avis sur, notamment, un avant-projet de loi « portant assentiment au Traité établissant une Constitution pour l'Europe, et à l'Acte final, faits à Rome le 29 octobre 2004 », Doc. Parl., Sénat, 2004-05, no 1091/1.
(5) Note infrapaginale 35 de l'avis cité: Cass., 19 mars 1981, Pas., 1981, I, no 417; J.T., 1982, 565, et la note de J. Verhoeven; Cass., 2 mai 2002, no C.99 0518.N.
(6) Note infrapaginale 36 de l'avis cité: Voir notamment CE., section de législation, avis 33.510/3 du 28 mai 2002 sur l'ayant-projet devenu la loi du 17 décembre 2002 portant assentiment à la Convention sur l'accès à l'information, la participation du public au processus décisionnel et l'accès à la justice en matière d'environnement, et aux annexes, faites à Aarhus le 25 juin 1998 (doc. Sénat, 2001-2002, n' 2-1235/1, p. 48); avis 35.792/2/V du 20 août 2003 sur l'avant-projet devenu le décret du 27 novembre 2003 portant assentiment à la Convention sur les polluants organiques persistants, faite à Stockholm, le 22 mai 2001, ainsi qu'à ses annexes (Doc., C.R.W., 2003/2004, no 575/1, p. 10); avis 36.170/1 du 11 décembre 2003 sur l'avant-projet de loi portant assentiment à la Convention sur la sécurité sociale entre le Royaume de Belgique et la République de Croatie, signée à Bruxelles le 31 octobre 2001 (Doc. Parl., Sénat, 2004-2005, no 957/1).
(7) Note infrapaginale 37 de l'avis cité: Voir notamment les avis cités à la note précédente.
(8) Dans cette hypothèse, il faudra procéder à la notification visée à l'article 19, alinéa 5, de la convention.
(9) Cass., 11 décembre 1953, Pas., 1954, I, p. 298, Cass., 19 mars 1981, JLMB, 1994, p. 218 et J.T. 1982, 565, note J. Verhoeven.
(10) Les règles édictées par les organes d'institutions internationales peuvent en effet être rendues obligatoires en droit interne du fait de leur publication dans le bulletin ou le journal officiel édité par ces institutions, par l'effet des clauses contenues dans les traités y relatifs (B. Haubert et C. Debroux, « L'application du droit international par le juge administratif », A.P.T., 1998, p. 95).